1
svar
365
visningar
Anshi behöver inte mer hjälp
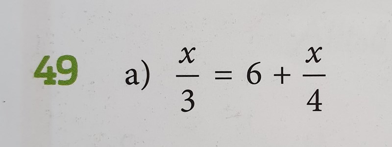
Ekvation med flera nämnare : Geometri

Hej! Jag har gjort flera försök men får alltid att x = 6 vilket är fel svar. Kan någon hjälpa mig?
När du multiplicerar båda leden i en ekvation med minsta gemensamma nämnare måste du multiplicera alla termer med den.
Du har bara multiplicerat 6 i högerledet med 12. Vilket gör att andra termen x/4 har kvar sin nämnare. Poängen med att multiplicera med just 12 är att bli av med alla nämnare på en gång.
Sedan gör du något mycket otillåtet. Du förkortar mellan olika termer. Du kan bara förkorta med en gemensam faktor till täljare och nämnare i samma bråk.