4
svar
160
visningar
Anshi behöver inte mer hjälp
Ekvation med flera nämnare : Geometri
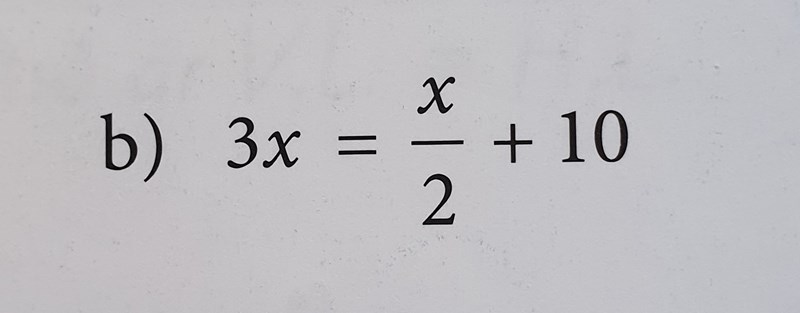
Jag vet inte ens hur jag ska börja lösa denna uppgiften. Hur ska jag veta vilken MGN det är om det finns bara en nämnare?

Då är det den som är MGN. Alltså 2 i detta fall.
Du behöver inte tänka på det, multiplicera allt med nämnaren av bråket och kör på.
Du kan skriva det som att alla har en nämnare:
Vad är den gemensamma nämnaren till 2 och 1?
Tack så mycket :)