Ekvation med logaritmer




Jag har ej lyckats med denna uppgift, har försökt i mer en en timme kolla på lagar och uppgiften men ingenstans får jag x själv utan jag kan bara alltid förkorta bort alla x
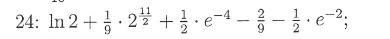
svaret som ska får är följande

Gångra båda sidor med nämnaren, och flytta sen om så att du har 2or på ena sidan och 3or på andra. Det brukar vara en smidigare metod att ha så få plus och minus man kan i uttrycket innan man använder någon logaritm, för de är svåra att bli av med sen. Däremot finns många logaritmlagar för att hantera gånger och delat.
Jag fick svaret till x=0,7095 men jag vet inte om det är rätt.
Micimacko skrev:Gångra båda sidor med nämnaren, och flytta sen om så att du har 2or på ena sidan och 3or på andra. Det brukar vara en smidigare metod att ha så få plus och minus man kan i uttrycket innan man använder någon logaritm, för de är svåra att bli av med sen. Däremot finns många logaritmlagar för att hantera gånger och delat.
Det funka inte, skulle du kunna lösa den och visa för jag fick följande

3^x+2^x=7×3^x-7×2^x leder till 8×2^x=6×3^x
Dela 8/6=3^x/2^x leder till ln(4/3)=ln(3/2)^x
Leder till x=ln(4/3)/ln(3/2)