Ekvation med variabel som exponent
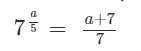
Hej, jag lyckas inte bestämma värde på a så att likheten stämmer för denna ekvation:
Sedan kommer jag inte vidare, kan någon ge mig en ledtråd? Eller är jag ute på helt fel spår?
Tack i förhand!
Det var en mysko ekvation. Sådana brukar man bara kunna lösa ungefärligt, med numeriska metoder, om den inte är konstruerad så att t.ex. ett lättgissat heltal är lösningen, och det verkar inte vara så här.
Kan du ta en bild på uppgiften?
Tillägg: 31 aug 2023 19:16
Jag ser att det finns en sådan lösning. Dina omskrivningar är rätt en bit, men näst sista raden är fel.

På den här raden gissa olika värden på a och få fram en giltig lösning.
Men som Laguna säger är det en mysko ekvation.
Provade olika värden och kom fram till a=0! Tack för hjälpen! Håller med om att det var en udda ekvation!