15 svar
318 visningar
Ames behöver inte mer hjälp
Ames 7 – Fd. Medlem
Postad: 23 jan 2022 11:09 Redigerad: 23 jan 2022 11:10

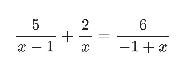
Ekvation med x i nämnaren


Jag har fastnat totalt på denna uppgiften.

Jag har endast kommit fram till att 5x/(x-1)+2=6x/(-1+x) eller har jag gjort fel redan här?

Aloosher 238
Postad: 23 jan 2022 11:11 Redigerad: 23 jan 2022 12:10

Försök få alla bråk till att ha samma nämnare, sen kan du ta bort dem helt från ekvationen. 

 

Hur man gör det, försök först själv dock.

5x-1+2x=6x-1 (-1+x är ju samma sak som x-1). 5xx(x-1)+2x=6xx(x-1)5xx(x-1)+2(x-1)x(x-1)=6xx(x-1)Multiplicera bort alla nämnare:5x + 2(x-1)=6x5x + 2x - 2 = 6x7x = 6x+2x = 2 

 

 

Smaragdalena 78892 – Avstängd
Postad: 23 jan 2022 11:12

Välkommen till Pluggakuten!

Det krångliga är att du har nämnare, eller hur? Vad kan du göra för att bli av med dem i ekvationen?

Tips: Skriv om -1+x i nämnaren i HL till x-1, så ser det lite mindre krångligt ut.

Smaragdalena 78892 – Avstängd
Postad: 23 jan 2022 11:13
Aloosher skrev:

Det är inte lätt att se vad du har skrivit men jag tror det är fel då du har fått 5xx-1, du kan inte förlänga täljaren utan att förlänga nämnaren. 

 

I alla fall, försök få alla uttryck till att ha samma nämnare 

Enligt rubriken är det en ekvation som skall lösas, inte ett uttryck som skall förenklas.

Yngve 42667
Postad: 23 jan 2022 11:30
Ames skrev:

Jag har endast kommit fram till att 5x/(x-1)+2=6x/(-1+x) eller har jag gjort fel redan här?

Nej det du har gjort är helt rätt. Fortsätt på samma sätt, men använd först Smaragdaleenas tips i svar #3.

Ames 7 – Fd. Medlem
Postad: 23 jan 2022 11:46 Redigerad: 23 jan 2022 11:55
Smaragdalena skrev:

Välkommen till Pluggakuten!

Det krångliga är att du har nämnare, eller hur? Vad kan du göra för att bli av med dem i ekvationen?

Tips: Skriv om -1+x i nämnaren i HL till x-1, så ser det lite mindre krångligt ut.

Ska jag multiplicera in de olika nämnarna i varandra? X i första bråket i vänster leden och med bråket i högerledet? 
5x/x(x-1)+2=6x/x(x-1)

Eller om 5x/(x-1)+2=6x/(x-1) kan man ta 5x+2=6x? För att nämnarna är samma 


Tillägg: 23 jan 2022 11:59

Då blir x=2

Louis 3931
Postad: 23 jan 2022 12:04

5x/(x-1) + 2 = 6x/(x-1)

Andra termen 2 i vänster led har ingen nämnare (eller nämnaren 1). Så nämnarna är inte samma och man kan inte göra som du föreslog.

Det du skrev i din första fråga var som sagt rätt. Du multiplicerade då båda leden med x för att bli av med x-nämnaren. Nu vill du bli av med nämnaren x-1. Fortsätt på samma sätt, som Yngve skrev.

Aloosher 238
Postad: 23 jan 2022 12:07 Redigerad: 23 jan 2022 12:08
Yngve skrev:
Ames skrev:

Jag har endast kommit fram till att 5x/(x-1)+2=6x/(-1+x) eller har jag gjort fel redan här?

Nej det du har gjort är helt rätt. Fortsätt på samma sätt, men använd först Smaragdaleenas tips i svar #3.

Hur är 5x/(x-1) rätt??? 

Det var inget, jag är bara lite dum 

Ames 7 – Fd. Medlem
Postad: 23 jan 2022 12:21
Yngve skrev:
Ames skrev:

Jag har endast kommit fram till att 5x/(x-1)+2=6x/(-1+x) eller har jag gjort fel redan här?

Nej det du har gjort är helt rätt. Fortsätt på samma sätt, men använd först Smaragdaleenas tips i svar #3.

5x•(x-1)/(x-1) +2=6x•(x-1)/(x-1). Då x-1 slår ut varandra i bägge leden blir det 5x+2=6x? x=2?

Yngve 42667
Postad: 23 jan 2022 12:22 Redigerad: 23 jan 2022 12:24

Nästan rätt, men du glömmer att multiplicera termen 2 med (x-1).

Och du bör alltid alltid kontrollera ditt svar. Dvs i ditt fall, kontrollera om x = 2 är en lösning till ursprungsekvationen. Vet du hur du ska göra det?

Ames 7 – Fd. Medlem
Postad: 23 jan 2022 12:25
Yngve skrev:

Nästan rätt.

Du glömmer att multiplicera termen 2 med (x-1).

5x•(x-1)/x-1 +2(x-1)=6x•(x-1)/x-1 
5x+2x-2=6x

7x-2=6x

x=2

Ames 7 – Fd. Medlem
Postad: 23 jan 2022 12:28
Yngve skrev:

Och du bör alltid alltid kontrollera ditt svar. Dvs i ditt fall, kontrollera om x = 2 är en lösning till ursprungsekvationen. Vet du hur du ska göra det?

5/(2-1)+2/2=6/(2-1)

5/1+1=6/1

5+1=6

6=6

Yngve 42667
Postad: 23 jan 2022 12:36

OK bra, nu stämmer det.

Tekniken här var alltså att i tur och ordning multiplicera ekvationen med de nämnare som du vill "bli av med", och att förenkla alla termer längs med vägen.

Louis 3931
Postad: 23 jan 2022 12:37

Lite ovanligt att ett felaktigt sätt att lösa en ekvation ger rätt svar.
Men att glömma multiplicera en term med (x-1) gör ingen skillnad om x=2.

Ames 7 – Fd. Medlem
Postad: 23 jan 2022 12:39
Yngve skrev:

OK bra, nu stämmer det.

Tekniken här var alltså att i tur och ordning multiplicera ekvationen med de nämnare som du vill "bli av med", och att förenkla alla termer längs med vägen.

Jag förstår det mycket lättare nu när jag fått det förklarat för mig. Tack för hjälpen!

Ames 7 – Fd. Medlem
Postad: 23 jan 2022 12:39

Tack för hjälpen!

Svara
Close