1
svar
128
visningar
Dkcre behöver inte mer hjälp
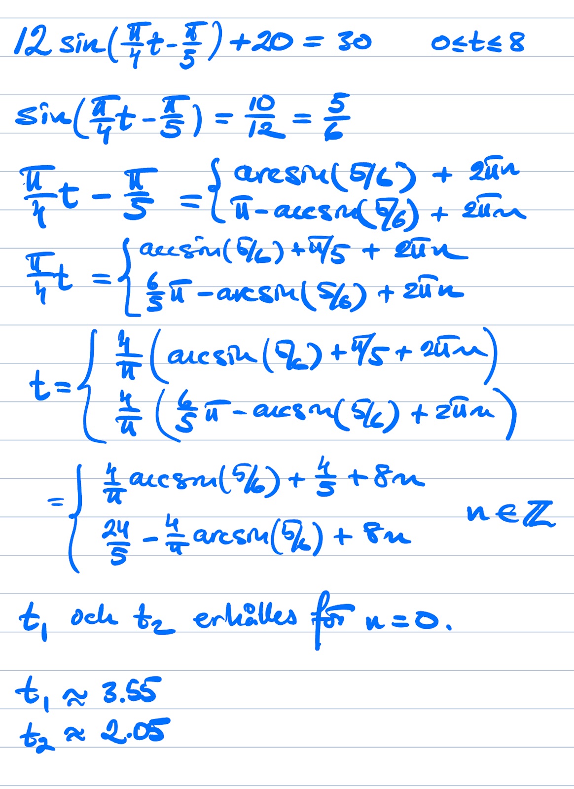
Ekvation radianer
Hej..
Gör något fundamentalt fel. Fattar inte.
Intervallet är 0<=t<=8
T1 ska vara ~ 2.1
T2 ska vara ~ 3.5

