5
svar
86
visningar
fysik3 behöver inte mer hjälp
Ekvationen z^n = a

jag tycker följande fråga är konstigt formulerad, jag förstår inte riktigt vad jag ska göra.
Denna uppgift lämpar sig väl för de Moivres formel, som säger att om så är
Metoden du kan använda är då att
- Ansätta
- Skriva högerledet på polär form
- Lösa ekvationen.
Tänk då på att både sinus- och cosinusfunktionen har en periodicitet på radianer (360°). Detta ger dig de multipla lösningarna.
jo men till en början tänkte jag så men i facit står det istället så
Visa din lösning, den är troligtvis samma som i facit, fast skriven på ett annat sätt.
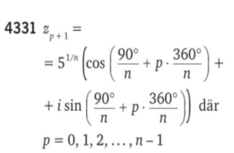
Juste, tack ska du ha men zp+1, hur ska jag tolka det?
Med p = 0 får du lösningen z1
Med p = 1 får du lösningen z2
Och så vidare.
De vill alltså namnge lösningarna z1,, z2, z3 o.s.v.