3
svar
121
visningar
Ekvationer
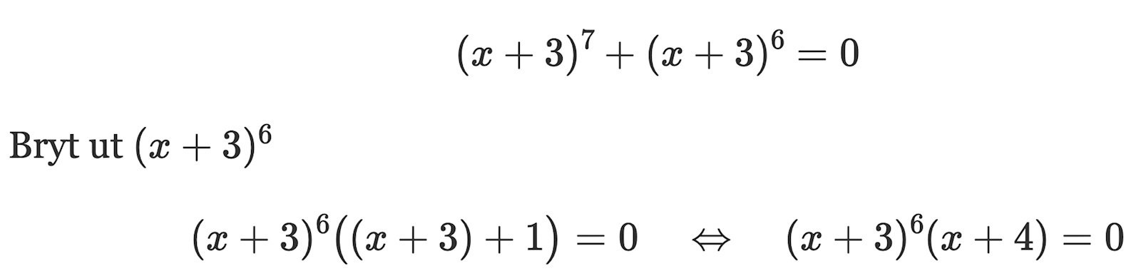
(x+3)^7+(x+3)^6=0
I facit står det att man ska börja med att ta denna ekvationen till (x+3)^6 x (x+4) men jag förstår inte det steget.
Hej.
Pröva att tillfällig döpa om x+3 till a.
Då blir ekvationen a7+a6 = 0
Lös ut a.
Byt sedan tillbaka till x+3 och lös ut x
Dom menar att du först ska faktorisera för att få ett enklare uttryck.
Dvs
