2
svar
175
visningar
elizabethbolund behöver inte mer hjälp
Ekvationer
Hej!
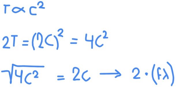
VI har ekvationen T=ac2
T står för spänning, a är bara en konstant, och c är hastighet.
Vi vet också att: c=fλ
f är frekvens och λ är våglängd
Hur förändras frekvensen när spänningen är fördubblad? Mitt svar är att den också fördubblas, men tydligen ska vara √2 så stor
Och eftersom λ är konstant måste det vara f som fördubblas, så tänkte jag.

Jag förutsätter här att våglängden inte ändras när spänningen ändras.
Börja med att skriva om sambandet som .
Tänk dig sedan att spänningen fördubblas, dvs att vänsterledet blir dubbelt så stort.
Då måste även högerledet bli dubbelt så stort.
Detta ger oss att , dvs