Ekvationer med en känd reell rot
g(x)=x⁴-6x³+6x²+24x-40 har två reella nollställen, x=2 och x=-2. Bestäm samtliga rötter till g(x)=0
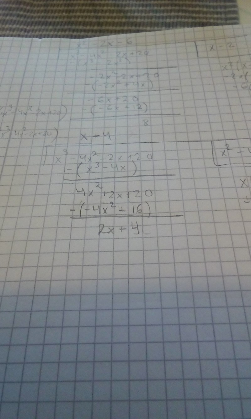
Jag har delat fjärdegradspolynomet med faktorn x-2 och fått fram x³-4x²-2x+20 och tänkte sen att jag delar tredjegradspolynomet med samma faktor för att få fram en andragradsekvation som jag kan lösa med pq-formeln. Är det rätt tänkt? För jag kan inte lösa tredjegradspolynomet...
Rätt tänkt.
Samma sak: Dela med(x-2)(x+2) direkt.
Hmm hur gör man det? Jag vet inte hur jag ska gå vidare här i från, vad ska jag göra med 8an?

Linnimaus skrev :Hmm hur gör man det?
Räkna ut polynomet:
Därefter gör du polynomdivisionen på precis samma sätt.
Nä.. vad gör jag för fel? Det måste ju bli 0 väl?

Om du inte gillar polynomdivision finns det en annan väg framåt.
Du vet att fjärdegradspolynomet g(x)=x⁴ - 6x³ + 6x² + 24x - 40 har nollställen x = 2 och x = -2. Alltså är (x -2) och (x + 2) faktorer i g(x).
Alltså kan g(x) skrivas (x - 2)(x + 2)*f(x) = (x² - 4)*f(x), där f(x) är ett polynom i x av grad 2.
Ansätt nu f(x) = ax² + bx + c och multiplicera ihop:
(x² - 4)(ax² + bx + c) = ax⁴ + bx³ + (c - 4a)x² - 4bx - 4c
Eftersom detta uttryck ska vara lika med g(x) för alla värden på x så måste:
- Fjärdegradstermerna vara lika, dvs a = 1
- Tredjegradstermerna vara lika, dvs b = -6
- Andragradstermerna vara lika, dvs (c - 4a) = 6
- Förstagradstermerna vara lika, dvs -4b = 24
- Konstanttermerna vara lika, dvs -4c = -40
Ur dessa samband får du lätt a, b och c
Tack Yngve. Nu gick det!
Linnimaus skrev :Tack Yngve. Nu gick det!
Men det är bra att träna på polynomdivision.
Ställ upp (x^4 - 6x^3 + 6x^2 + 24x - 40)/(x^2 - 4) i liggande stolen/trappan eller vad du kallar det så ska du se att det går jämnt ut.