6
svar
283
visningar
Ekvationer med nämnare
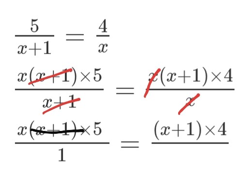
Hej, jag behöver lite hjälp med denna. Mgn = x(x+1)
Hur gör du förkortningen på rad två?
Varför inte köra korsmultiplikation? Det är lättare tycker jag .
Hej,
Ekvationen är samma sak som denna ekvation:
som också kan skrivas
tack för alla svar o ursäkta för sent svar!
Ingen fara! Både användare som frågar och som svarar gör så när det passar dem. Behöver du mer hjälp med uppgiften? :)
