Ekvationer med upphöjt med x
förstår inte hur svaret kan bli fem upphöjt till X +1 ? Kan någon hjälpa mig förstå det, tack!
Dela upp
5x+1 mha potensregler.
Visa spoiler

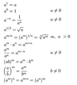
Kolla på den sjätte raden till vänster.
Behöver mer hjälp 🙏
Om du har 3x + 3x + 3x
Hur kan du skriva om detta enklare?
x upphöjt till tre
Inte riktigt. Du adderar 3x tre gånger.
Exempelvis om du har
9+9+9
kan du skriva om det som
3 x 9
(kolla med miniräknaren så ser du att båda ger samma svar! (27)
Om du ger det ett nytt försök, hur skulle du skriva om 3x + 3x +3x?
9x
Mari G skrev:9x
Javisst!
Är du med på att det även kan skrivas som
ja det är jag!
Men hur ska jag nu förklara varför svaret blir som det blir på uppgiften jag skicka?
har nåmligen prov i morgon och behöver ett snabbt svar 😁
Det är samma princip.
5x+1 kan du bryta ned till
Enligt potensregeln jag hänvisade till innan.
Det betyder att du tar 5x multiplicerat med 5
som kan skrivas som vänsterledet på pappret du skrivit på.
okej tack för hjälpen