Ekvationer som omformas med formler
Se uppgift 1429
se bild
Skriv om cos^2 x med trigonometriska ettan. Det ger en andragradsekvation i sin x.
3 cos^2(x) = 2 sin(x) + 2
cos ^2(x) kan ändras till cos^2 - sin^2
cos ^2(x) - sin(x) + 2 = 0
nej jag vet inte.
Om vi ska få bort - sin ^2x måste vi ändra tecken på allt från den sidan.
sin ^2(x)+sin(x)-1+2=0
det blir
sin^2(x) + sin(x) + 1= 0
x^2 + x + 1= 0
Nu vet inte jag mer, vad som är snett. Finns det att få hjälp med detta.
Du verkar ha tappat en tvåa framför sin x-termen!
Ska jag ändra även 2 sin(x) till 2* sin(x)cos(x)?
Vilken rad då?
Nej. Du kan byta ut sin x mot t, så får du en andragradsekvation som du kan lösa, och sedan kan du byta tillbaka från t till x och få fram vilka x som uppfyller ekvationen.
EDIT: Du verkar ha tappat bort trean som fanns där från början också.
Helt riktigt. Sorgen hos mig påverkar mycket mig att man står stilla i huvudet i många gånger, eftersom det här har nyligen ändå hänt. Jag försöker koncentrera mig i matten.
Jag är mycket intresserad av matten.
Jag ska höra ett försök nu!
Börja om från början. Då har du ekvationen . Använd trig. ettan på -termen så att alla termer innehåller sinus (utom konstanttermen). Vad får du då?
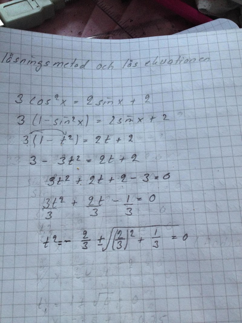
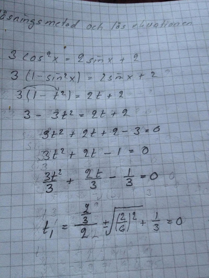
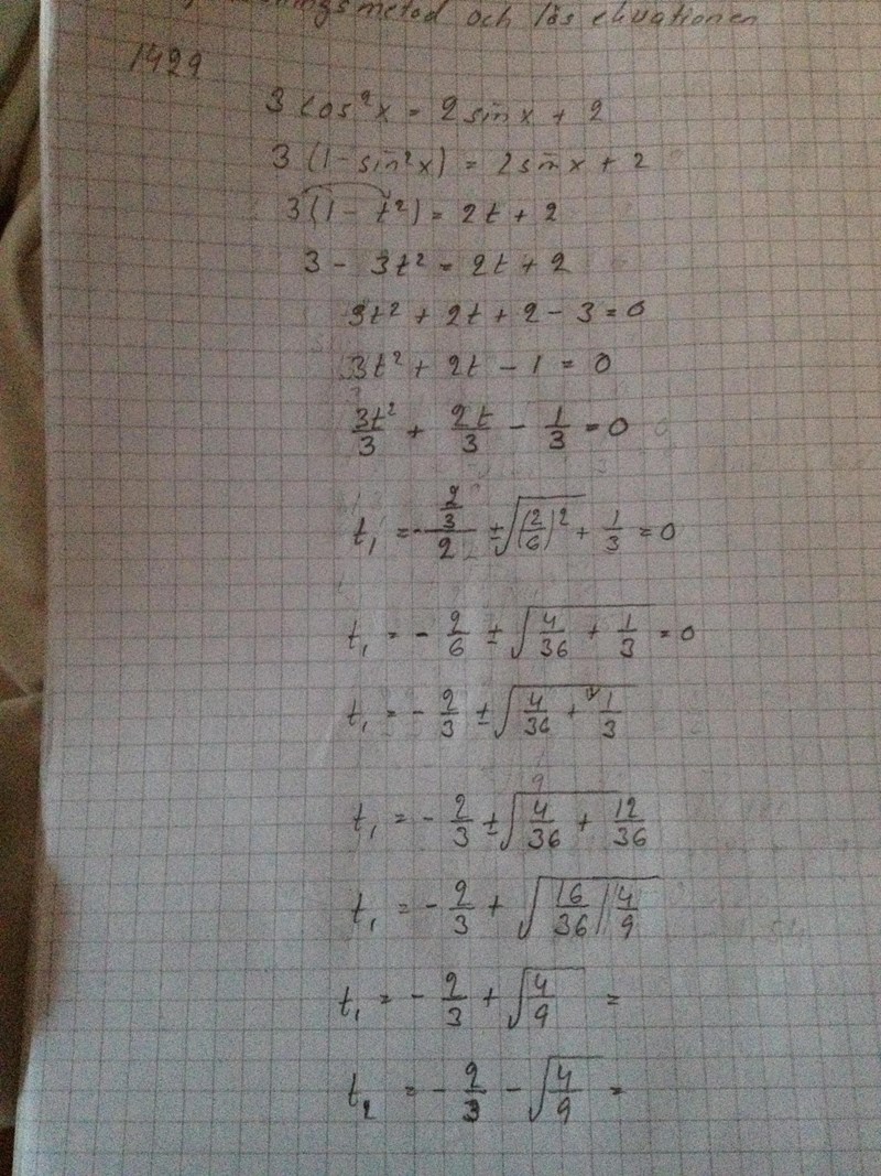
3cos^2x = 2sinx +2
utnyttja trig ettan cos^2 = 1-sin^2
3(1-sin^2x) -2sinx -2 = 0 Förenkla (multiplicera in 3 i parentesen och samla ihop termerna)
-3sin^2x -2sinx +1 = 0 Dela med -3 (alla termer måste delas med -3)
sin^2x + 2/3 * sinx -1/3 = 0
kalla sin(x) för t
t^2 +2/3 *t -1/3 = 0 lös med pq
t = -2/6 +- sqrt(4/36 +1/3)
t = -2/6 +- 2/sqrt(3)
byt tillbaka t = sin(x)
sin(x) = -2/6 +- 2/sqrt(3)
Fortsätt på egen hand och fråga om du får nya svårigheter
Jag provar.
Päivi skrev :
näe du har en parentes med en faktor framför måste du multiplicera alla element i parentesen med faktorn.
ex: 3(1-sin^x) = 3 -3sin^x
Jag upptäckte ett fel att jag inte hade multiplicerad 3.
Du har missat att dela p (i pq-formeln) med 2. Det är bara sista raden som är fel.
Det här är fruktansvärd. Jag måste dela med två. Det syns på mig att något är snett här. Så här tokig har inte jag varit.
Kolla om något är snett igen.
Nu fattar jag inte, vad som går snett igen.
Någonting går snett när du försöker lösa ekvationen . Använd pq-formeln och förkorta p/2 till 1/3. Förläng konstanttermen till 3/9, så blir det lättare siffror under rottecknet.
Varför ska jag förlänga till 3/9 konstant termen.
Jag har förkortat 2/3 dividerat med 2
tog bort 2 orna och fick till 1/3. Hjärnan snurrar riktigt ordentligt.
Jag märker vad min sambo påverkar mig fruktansvärd.
Jag gråter dagligen. Jag tvingar mig hålla på med matte.
Päivi skrev :Varför ska jag förlänga till 3/9 konstant termen.
För att det är lättare att addera 1/9 och 1/3 om man gör om så att båda är niondelar.
Ja, men du är inte riktigt färdig än. Det du har kommit fram till är ju t, inte x.
Nu vet du alltså att sin x = 1/3 eller att sin x = -1. Vad är x? (Två svar i det första fallet, ett i det andra, och så perioden.)
Jag ska fixa det. Jag har lite att göra än. Jag har djur som måste göras i ordning till natten.
Jag ska ta arc sin på det där och sätter perioden till.
God natt!







