Ekvationer som omformas med formler
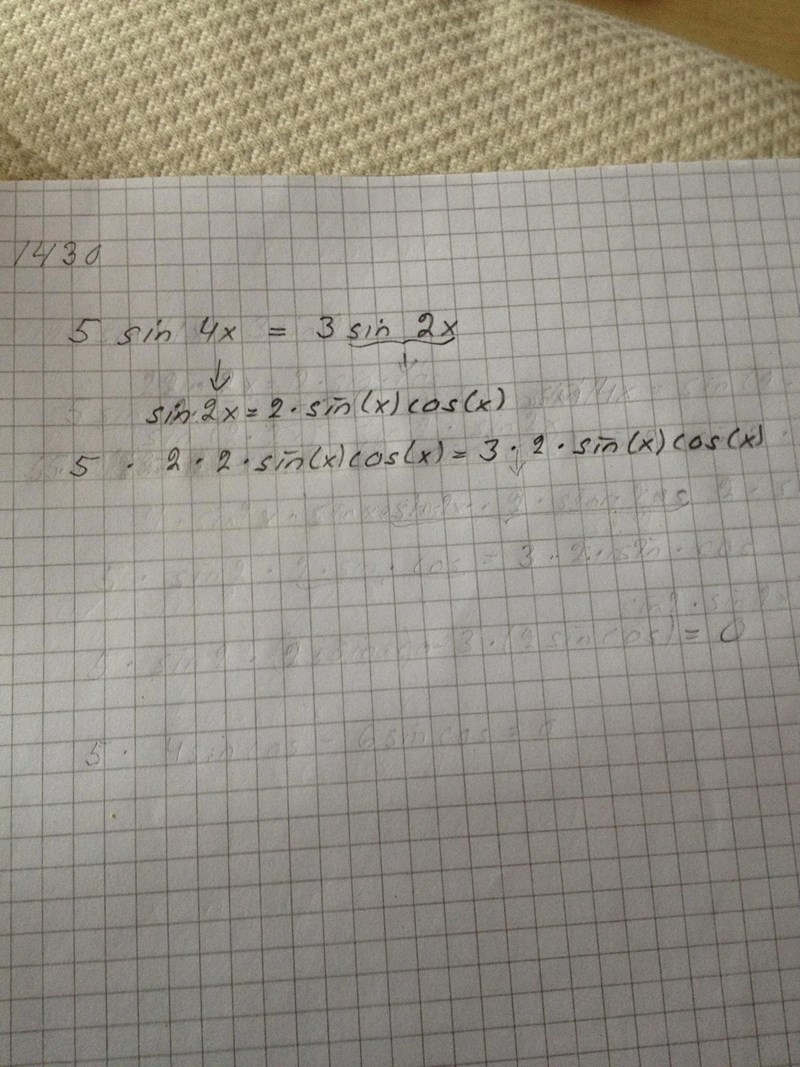
Uppgift 1430 behöver hjälp med.
Du har använt fel formel för dubbla vinkeln på rad 2.
Den lyder
sin(2x) = 2*sin(x)*cos(x)
Och på rad 3 har du skrivit att sin(2*2x) = sin(2)*sin(2x). Det stämmer inte.
Kalla istället 2x för v. Då blir 4x = 2v och sin(4x) = sin(2v). Sedan kan du använda formeln för dubbla vinkeln enligt ovan. Byt sedan tillbaka från v till x.
Nu begriper jag inte. Det har gått lite snurrigt här.
sin 4x hur skrivs det?
2x= 2*sin*cos
Det här är bara sin 2x.
Hjälp mig vidare.!
Om 2x = t så är
sin(4x) = sin(2t) = ...
Du har att , därför kan din ekvation skrivas om till
Så nu vid sista steget så har du att antingen så är eller så är , vilket alltså är två ekvationer du bör kunna lösa.
Hej Päivi!
Med hjälp av formeln för Sinus för Dubbla Vinkeln (tillämpad på vinkeln ) kan ekvationen
skrivas
Denna ekvation kan i sin tur skrivas som
Produkten är lika med noll om
eller om ,
vilket talar om för dig att
n (radianer) eller
(radianer) eller
(radianer),
där betecknar ett positivt heltal.
Ekvationen har alltså oändligt många lösningar; den har lika många lösningar som det finns positiva heltal.
Albiki
Nu förstår jag inte var har du fått
helt plötsligt
när man först skriver
10sin (2x) cos (2x) - 3sin (2x)= 0
helt plötsligt blir det
sin (2x) (10cos 2x) - 3)= 0
förklara detta!
Jag faktoriserar uttrycket. Så om vi exempelvis har att 10ab - 3a = 0, så kan jag bryta ut a så jag får a(10b - 3) = 0. I ditt fall så är a = sin(2x) och b = cos(2x).
Nu undrar jag
10sin 2(x) (cos (x) - 3/10 )
varför sätter man 10 i nämnaren inom parentesen. Så här långt förstår jag det hela.
Förklara!
Nu förstår jag
tusen tack för hjälpen. Jag behöver nog öva mera på sådana uppgifter.
sin 4(x) vållade problem, när jag inte förstod, hur jag skulle göra, när jag vet att sin2x= 2*sin(x)cos(x)
Päivi skrev :Nu förstår jag inte var har du fått
helt plötsligt
när man först skriver
10sin (2x) cos (2x) - 3sin (2x)= 0
helt plötsligt blir det
sin (2x) (10cos 2x) - 3)= 0
förklara detta!
Hej!
Ekvationen
är samma sak som ekvationen
.
Detta är av samma anledning som att uttrycket (som är lika med talet 68) är samma tal som uttrycket (som är lika med 68); om man vill använda matematisk jargong så är det den distributiva egenskapen hos reella tal som används här.
En produkt av två tal är lika med talet noll om eller om . Det är av denna anledning som ekvationen
är möjlig om
eller om
Ekvationen
är samma sak som ekvationen
,
som i sin tur är samma sak som ekvationen
Albiki
Det är helt riktigt. Tusen tack till detta.
Jag lägger detta på minnet och har skrivit i min block och har gjort särskild markering på uppgift.
Faktorisera kan jag. Det strulade lite grann för mig.


