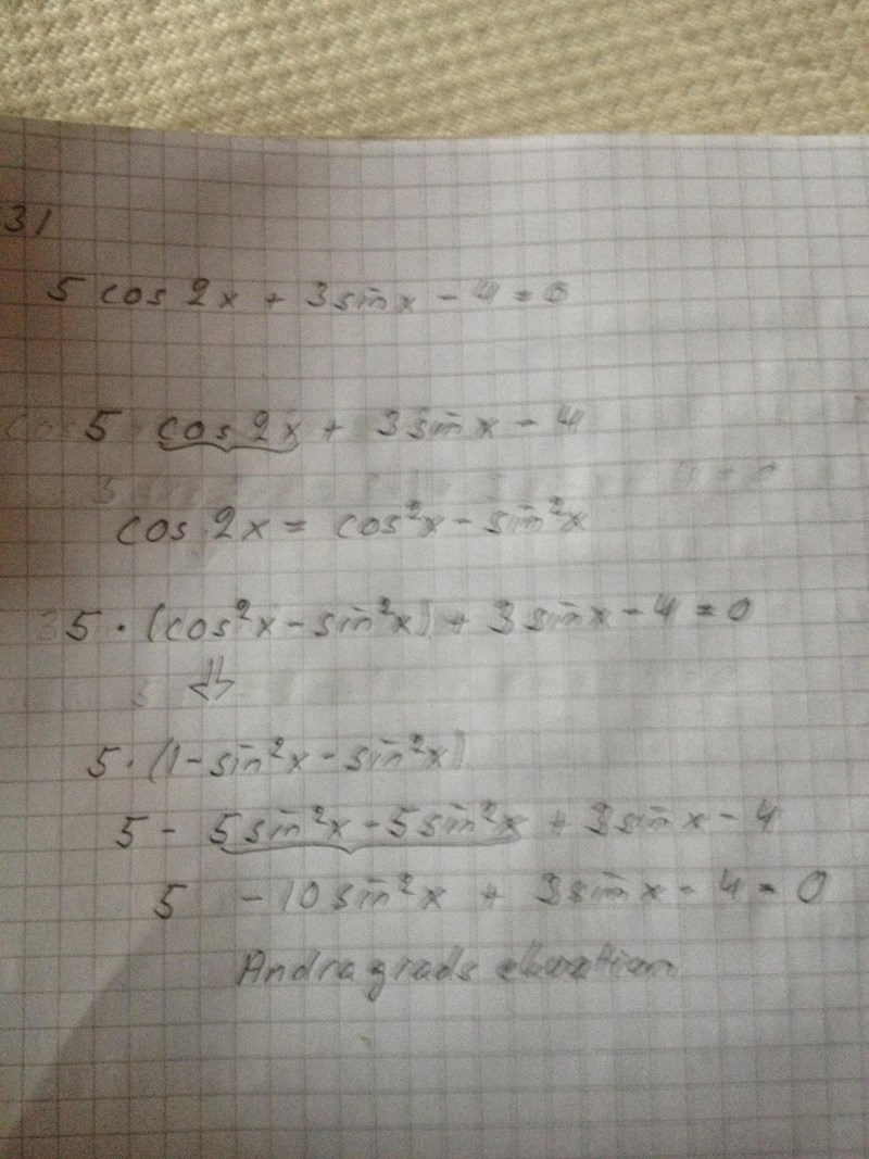
5cos 2(x) + 3 sin(x) - 4= 0
cos 2(x)= cos^2(x) - sin^2(x)
5* (cos ^2(x) - sin ^2(x) ) + 3 sin(x) - 4= 0
jag har bytt från cos ^2(x) till 1 - sin^2(x)
5* (1 - sin^ 2 (x) - sin^2 (x) )
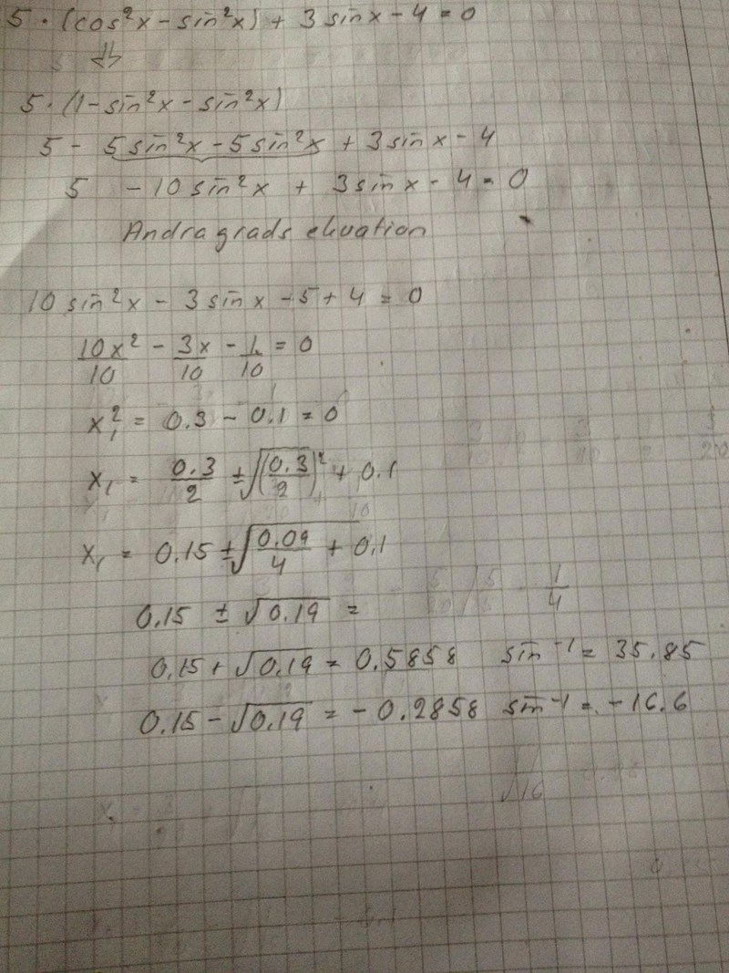
5 -10 sin^2 (x)+ 3 sin (x) - 4 = 0
andragrads ekvation blir detta.
Är det riktigt som jag har gått tillväga med uppgiften?
Det verkar vettigt, fast lite rörigt, eftersom du ibland har med hela ekvationen och ibland inte. Nästa steg är att lösa andragradsekvationen.
Jag har ändå kommit fram till att jag måste lösa andra grads ekvationen. Jag tänker och ändrar och funderar vad som man kan ändra så allt blir samma.
Vad är snett nu här?
När jag tar arc sin får jag inte rätt. Någonstans är fel. Kan ni hjälpa mig med detta!
kommer du vidare?
Du har alltså räknat fel under rottecknet - 0,09/4 + 0,1 blir inte 0,19 utan 0,1225.
Vad är det med mig idag? Nu såg jag felet.
Jag förstår inte varför jag inte får rätt, när jag tar arc sin.
jag fick 0,2725
Ursäkta nu såg jag ett fel här igen.
Jag skulle ta roten ur också.
Jag märker att det här med min sambo påverkar mig. Så här slarvig har inte jag varit. Jag gör ju massor med dumma fel.
Huvudsaken att man kommer gång i alla fall. Jag glömmer ena efter det andra.
Vilka värden på x får du?
Det blev
x= 30+ n *360
x= - 11.53 + n * 360
x= 150 + n * 360
x= 191,5 + n * 360
Jag märker att min sambos bort gång påverkar mig.
Päivi skrev :Jag märker att min sambos bort gång påverkar mig.
Det är verkligen inte konstigt. Vill du berätta mer, kan du PM:a mig (men bara om du vill).

