4
svar
81
visningar
Dr.scofield behöver inte mer hjälp
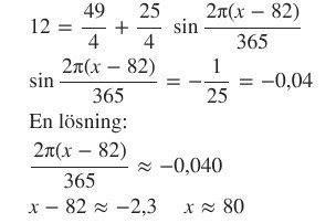
Ekvationslösning
Hej! Jag undrar, varför tappades "sin" i lösningens gång? Dvs efter "en lösning:". Förstår inte varför man kunde gå vidare utan att skriva "sin". Tack på förhand!

De tsr arcsin av bägge led.
För små vinklat (i radianer) gäller att sinx är cirka = x
Arcsin av 0,04 blir alltså 0,04, med 2 siffrors noggranhet
Tack!!!
Om jag ska få den andra lösningen gick det dock inte att ersätta x med x - pi? Det gav fel slutliga x.
Vad tror du om pi-0,04 ? pi-(-0,04)