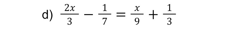
Ekvationslösning
Hej, jag behöver hjälp men en uppgift som jag fastnade på, jag behöver lösa följande ekvation: 
Detta är så långt jag har kommit: 
eftersom allt är skrivet i bråkorna börjar jag med att göra om nämnarna så att de blir likadana. Sedan skriver jag ihop bråken i VL för sig och bråken i HL för sig. Men jag vet inte hur jag ska fortsätta eller om jag har börjat rätt överhuvudtaget. Skulle uppskatta hjälp! :)
Ta nämnarna en i taget. Multiplicera först både VL och HL med 21. Förenkla resultatet. Sedan tar du den andra nämnaren. Fråga igen om detta inte räcker!
SvanteR skrev:Ta nämnarna en i taget. Multiplicera först både VL och HL med 21. Förenkla resultatet. Sedan tar du den andra nämnaren. Fråga igen om detta inte räcker!
Menar du såhär?
Ja men inte med den ekvation du började med utan med den du kom fram till, underst på ditt papper!
SvanteR skrev:Ja men inte med den ekvation du började med utan med den du kom fram till, underst på ditt papper!
Såhär antar jag då att du menar. Då blir det:
som blir:
Jag tar väl sedan HL multiplicerat med 9 för att få bort divisionen och då blir det:
som då blir:
men det är här jag blir tveksam om det är rätt. Ska jag bara fortsätta med vanlig ekvationslösning eller är något fel någonstans i beräkningarna?
Helt rätt, fortsätt bara med vanlig ekvationslösning!
SvanteR skrev:Helt rätt, fortsätt bara med vanlig ekvationslösning!
Jag fick då
jag delar väl då båda led med 105
men ska jag typ förenkla då för att göra det enklare? Om jag ska, får jag är det rätt?
Sätt in din lösning i den ursprungliga ekvationen och kolla om det stämmer!