Ekvationslösning hur kommer vidare
Hej! Jag undrar hur jag ska komma vidare här ifrån
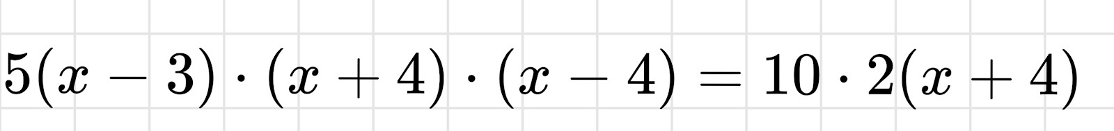
Uppgift: lös ekvationen : 5(x−3)/(2x+8) = 10/ (2x² −32)
min lösning: Lösning: C
5(x−3)/(2x+8) = 10/ 2x² −32
1.Multiplicera in (parantes)
(5x−15)/(2x+8) = 10/ 2x² −32
2. Bli av med nämnare
(5x−15)•(2x² −32) = 10•(2x+8)
3 Multiplicera ✖️ (paranteser)
VL: 5(x−3)•(2x² −32)
(5x-15)•(2x² −32)
(10x³-160x-30x²+480)
HL: 10• (2x+8)
20+80
4.Summera gemensamma termer
10x³-160x-30x²+480=20x+80
10x³-160x-30x²+400=20x
10x³-30x²-180x+400=0
5.Bryta ut faktorer
10(x³-3x²-18x+40)=0
x³-3x²-18x+40=0
6.Lösa ekvationen
x(x²-3x-18)+40=0
Hur kommer jag vidare?

Hej.
Jag tror att du får en enklare väg framåt om du börjar med att faktorisera de båda nämnarna.
Då ser du kanske att ekvationen går att förenkla.
(En ledtråd till detta skulle man kunna få om man allra först tar reda på vilka x-värden som inte ingår i definitionsmängden.)
oki om hag kollar på tillåtna x-värden får jag.
1.Icke tillåtna värden på x- nämnare
VL: (2x+8)≠0 x≠-4
2x+8=0
2x=-8
x=-8/2=-4
HL: (2x² −32)≠0 x ≠ ± 4
2x² −32=0
2x² =32
x²=32/2=16
x=±√16=± 4

hur kommer jag vidare nu?
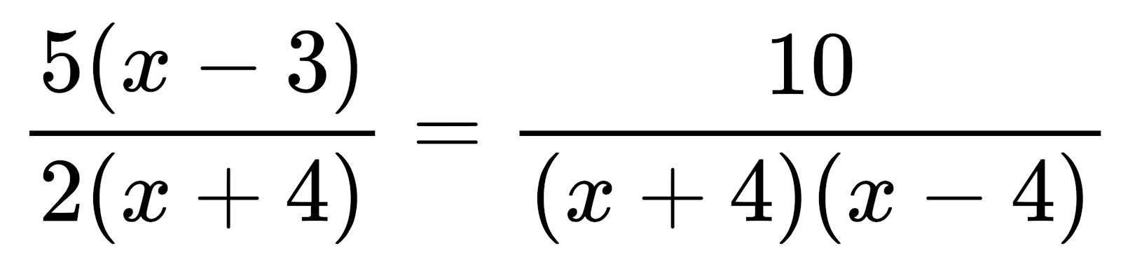
Nämnarna kan faktorseras då till
VL: (2x+8)=2(x+4)
HL: (x-4)(x+4)
Sedan får jag

När jag multiplclerar upp nämnarna
kan (x+4) termen tas bort eftersom den finns i vl & hl.?
Maddefoppa skrev:Nämnarna kan faktorseras då till
VL: (2x+8)=2(x+4)
HL: (x-4)(x+4)
Bra tänkt!
Eftersom den ena nämnaren har ett nollställe vid x = -4 så måste (x+4) vara en faktor i den nämnaren.
Eftersom den andra nämnaren har nollställen vid både x = -4 och x = 4 så måste både (x+4) och (x-4) vara faktorer i den nämnaren.
Men du missade en detalj när du faktoriserade ena nämnaren.
Det skulle du säkerligen ha upptäckt om du hade kontrollerat din faktorisering genom att multiplicera ihop faktorerna igen.
Gör det. Vad får du för resultat?

Gemmensamt på VL & HL

Borde då kunna skrivas om till (x-3)•(x-4)=4
Du har fortfarande inte rättat till felet som Yngve skrev om i inlägg #9. Detta gör att du försöker lösa fel ekvation.
Upptäckte att HL borde istället skrivas som

HL: faktorersering 2(x-4)(x+4)
Nu har du fått fram samma ekvation som jag har fått. Multiplicera ihop VL, förenkla, använd pq-formeln.
Maddefoppa skrev:HL: faktorersering 2(x-4)(x+4)
Bra. Tänk på att du alltid alltid ska kontrollera dina faktoriseringar genom att multiplicera ihop faktorerna igen.
Om produkten då är lika med ursprungsuttrycket så var faktoriseringen korrekt, annars inte.
x²-3x-4x+12=2
x²-7x+10=0
x²-7x=-10
5. Kvadratkomplettering
(a-b)²= a²-2ab+b²
b=-7/2
a=x
(x-7/2)²=x²-7x+49/4
Men när jag fortsätter får jag x1 & x2 till
±√25/2+7/2 så vet inte riktigt vart det blivit fel
Men när jag fortsätter får jag x1 & x2 till
±√25/2+7/2 så vet inte riktigt vart det blivit fel
Menar du eller ?
Jag löste det hade räknat med 12 istället för 10
6. Lösa ekvation
(x-7/2)²=-10+49/4
(x-7/2)²=(-40+49)/4
(x-7/2)²=9/4
(x-7/2)=±√9/4=3/2
x₁=3/2+7/2=10/2=5
x₂=-3/2+7/2=4/2=2
Svar: x₂=2 x₁=5
Sätt in dina värden i den ursprungliga ekvationen och kolla om det stämmer.
