Ekvationslösning med komplexa tal
Hej!
Jag vet ej hur jag skall börja med 4a). Jag ser ingen gemensam faktor eller så.

Använd det du har kommit fram till i a-uppgiften! Du är nästan klar.
Smaragdalena skrev:Använd det du har kommit fram till i a-uppgiften! Du är nästan klar.
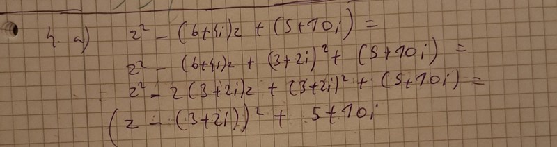
I uppgift a) fick jag detta. Ser det rätt ut?

Detta är vad jag får sen

Nej, du är inte klar med a-uppgiften än. Skriv lösninarna på formen z = a+bi.
Smaragdalena skrev:Nej, du är inte klar med a-uppgiften än. Skriv lösninarna på formen z = a+bi.
Men a) handlar om kvadratkomplettering. Vad är fel med a)? Menar du att jag ej är klar med b) uppgiften?
Du är inte klar med uppgiften.
Smaragdalena skrev:Du är inte klar med uppgiften.
nu ser jag att jag slarvade a) enligt facit men jag förstår ej varför..
Skriv lösningarna på formen z = a+bi.
Smaragdalena skrev:Skriv lösningarna på formen z = a+bi.
Det är det jag körde fast på. Varför är min kvadratkomplettering fel? Det har du ej svarat på.
z^2-(6+4i)z+(5+10i)
= z^2-2(3+2i)z+(5+10i)
= (z-(3+2i))^2 – (3+2i)^2 +(5+10i)
= ...
z2-(6+4i)z+(5+10i)
(z+(3-2i))2 -(3-2i)2 + (5+10i)
(z+(3-2i))2 - (9-12i+4i2) + (5+10i)
(z+(3-2i))2 -9+12i+4+5+10i
(z+(3-2i))2 + 22i
Smaragdalena skrev:z2-(6+4i)z+(5+10i)
(z+(3-2i))2 -(3-2i)2 + (5+10i)
(z+(3-2i))2 - (9-12i+4i2) + (5+10i)
(z+(3-2i))2 -9+12i+4+5+10i
(z+(3-2i))2 + 22i
Litet teckenfel. ( Din beräkning är ekvivalent med (5 + 10 i) + (6 - 4 i) z + z^2 )
Jag förstår ej vad ni gör.
Börja med kvadratkomplettering av ett enklare uttryck
x^2 + 4x + 5 = (x+2)^2 - 2^2 + 5
Tricket är att direkt efter kvadraten subtrahera det som är "för mycket" från kvadreringen. Du vill inte ha konstanttermen utan måste subtrahera den.
Trinity2 skrev:Börja med kvadratkomplettering av ett enklare uttryck
x^2 + 4x + 5 = (x+2)^2 - 2^2 + 5
Tricket är att direkt efter kvadraten subtrahera det som är "för mycket" från kvadreringen. Du vill inte ha konstanttermen utan måste subtrahera den.
Det som är för "mycket" från kvadreringen är alltså 2^2 som man subtraherar bort? Vad menar du med konstanttermen som jag ej vill ha?
Tillägg: 29 apr 2024 22:37
Nvm jag förstår vad du menar nu. Jag kollade på YT video om detta så det klarnade !