4 svar
175 visningar
abbi1 behöver inte mer hjälp
abbi1 141 – Fd. Medlem
Postad: 18 jun 2022 18:56

Ekvationssystem

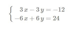
Lös följande ekvationssystem:

Om det finns oändligt många lösningar, så inför en reell parameter t genom att sätta y=t.

Följande har jag fått; (x-y=-4)

och att x=-4+y och vet inte hur jag skriver y. 

Yngve 42667
Postad: 18 jun 2022 19:18

Bra början!

Du kan nu ersätta x med -4+y (eller y-4, vilket är samma sak) i ekvation 2.

Du får då en ekvation som endast innehåller den obekanta storheten y.

Louis 3931
Postad: 18 jun 2022 19:41

Fast y försvinner då, eftersom de båda ekvationerna är identiska.

Menar de att man ska ange
x = t - 4
y =t
som lösning?

abbi1 141 – Fd. Medlem
Postad: 18 jun 2022 19:42
Louis skrev:

Fast y försvinner då, eftersom de båda ekvationerna är identiska.

Menar de att man ska ange
x = t - 4
y =t
som lösning?

Precis. (x,y)= -4+t,t

Yngve 42667
Postad: 18 jun 2022 20:24
Louis skrev:

Fast y försvinner då, eftersom de båda ekvationerna är identiska.

Ja, det är det man ska komma fram till.

Svara
Close