3
svar
277
visningar
Dkcre behöver inte mer hjälp
Ekvationssystem gauss
Hej
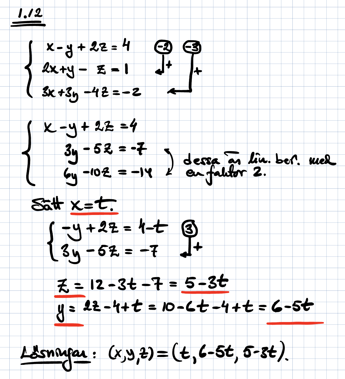
Kan inte lösa system 1.12.
Mitt svar är ((5-t)/3, (5t-7)/3, t)
Facit säger något annat. Misstänker att det kanske betyder lika men jag har ingen aning om hur de kommer fram till svaret.

.

Jaha, så. Okej, tack 🙂
Hur gör man på 1.14 då?
Man vill ha lösningen (1-3t, 1-2t, 3t).
Har gjort enligt bild, vet inte hur jag ska göra sedan..
Okej man multiplicerar med 3 för att få bort bråket för variabel y bara.. okej


.
