Ekvationssystem med bråk
Jag har fastnat på hur man gör ekvationssystem med bråk. Jag vet alla olika metoder på hur man löser ett ekvationssystem.
uppgiften:
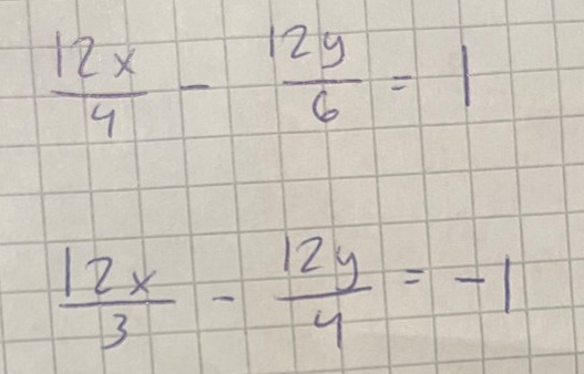
x/4-y/6=1/12
x/3-y/4=-1/12
ska man hitta en gemensam nämnare för alla? Ska man på något sätt flytta termerna?
Hej.
Om du vill kan du ge alla bråktal en gemensam nämnare, men det behövs egentligen inte.
Villen metod vill du helst välja, additionsmetoden eller substitutionsmetoden?
Börja med att multiplicera båda ekvationerna med 12, så får du mycket enklare siffror att räkna med.
Vill helst använda substitutions metoden.
Nej, nu förlänger du bråken i vänsterledet med 12 men multiplicerar högerleden med 12.
Då gör du inte samma sak på vänster och höger sida och de resulterande ekvationerna säger då något helt annat än ursprungsekvationerna.
Att multiplicera första ekvationen med 12 innebär.att du ska multiplicera både vänsterledet och högerledet med 12.
Då blir det , vilket ger dig
Kommer du vidare själv med att förenkla den ekvationen?
Gör sedan på samma sätt med den andra ekvationen.
frejaek22 skrev:
Det är korrekt, men du kan förenkla alla bråk! Sedan ser ekvationerna betydligt trevligare ut.
Tror jag löste det.
x=5
y=7


