Ekvationssystem med parameter
Hej
Undrar hur man löser system 1.16 på bilden. Facit har endast parametrar t och s. Ska man försöka nolla några koefficienter först eller hur vill man göra..

Antingen tänk inte alls och börja med att eliminera x1 från rad två och tre, eller ta nån variabel som har roligare koefficienter, t.ex. x3.
Hur ser det ut efter första steget?
Det här har jag gjort nu men vet inte om det går att följa vad jag håller på med..
Men jag skulle kanske ha dividerat första ekvationen med 2 för att få koefficient 1 på X, och sedan eliminerat därifrån så långt jag kan. Har inget mål med det nedan, gjorde mest bara någonting. Inte så bra.

Då blir det såhär istället, har fått såndär trappa man är ute efter.

Jag har inte kollat om uträkningarna stämmer, men matrisen ser bra ut. Då står det att x3 + 14,8x4 - 27x5 = 0, och nånting sånt för x2 också. Då kan du välja x4 och x5 som dina fria parametrar (eller vad det heter) s och t.
Tack, kollar på det. Sedan bakåtsubstitution hela vägen och får jag inte ett bra svar så har jag sullat till en beräkning eller glömt vända tecken eller annat.
Men min metod att göra det här på som helhet är så att säga korrekt? Man kan jobba med fler bråk kanske osv istället men..
Och anledningen till att x4 och x5 är fria variabler är för ett de inte kan bli pivot element och därav inte beror på någonting annat..
Tråkiga koefficienter, men så är livet…
Visa spoiler

Vid * & ** punkterna, vart kommer andra & tredje raderna ifrån? Och första vid *, varför är den multiplicerad med 5?
Dkcre skrev:Vid * & ** punkterna, vart kommer andra & tredje raderna ifrån? Och första vid *, varför är den multiplicerad med 5?
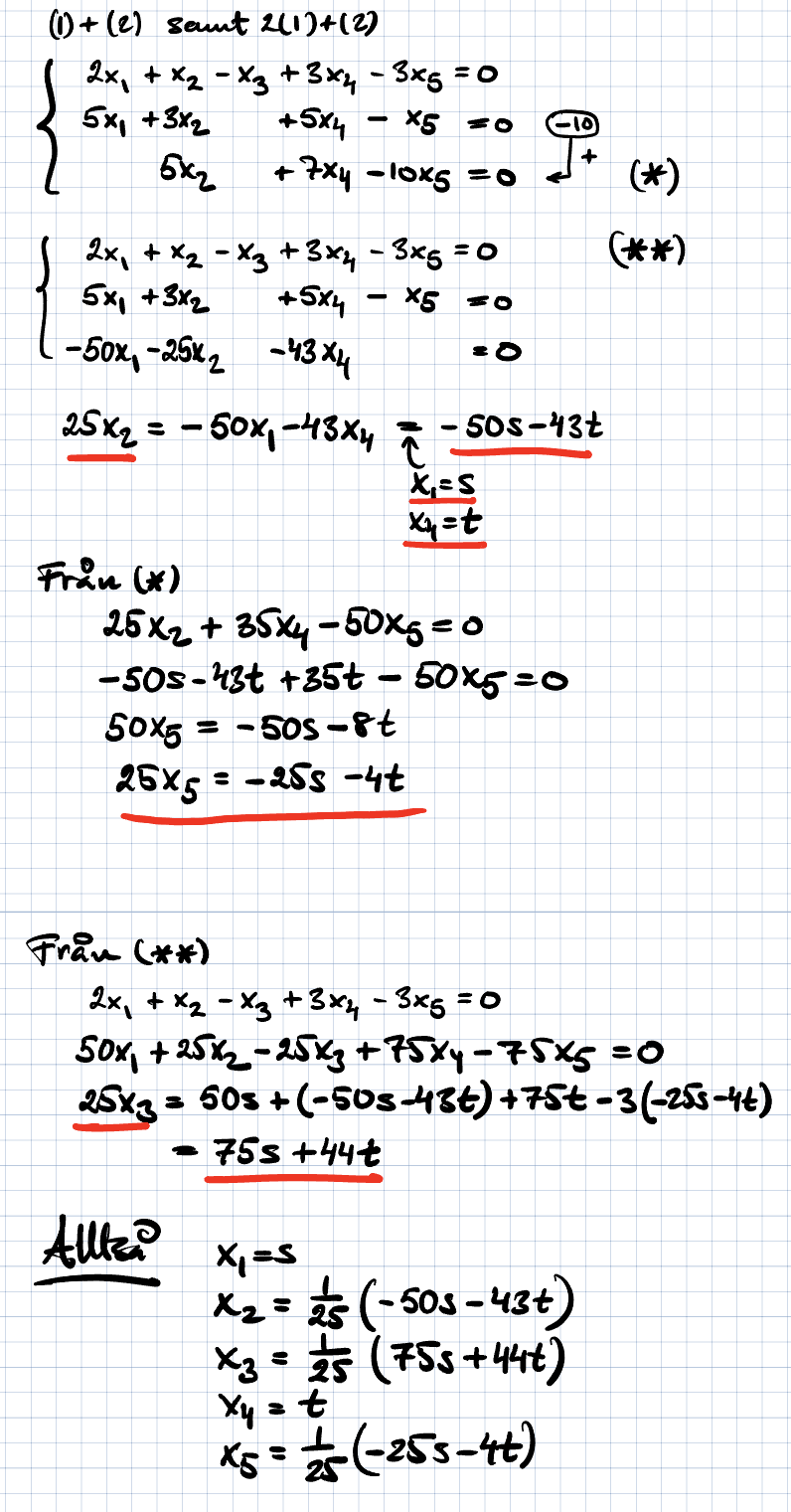
Utgå från systemet i boken och tag (1)+(2) samt 2(1)+(2) och du får

Sedan vill jag få bort x5 och gör

för att få

Ah, jadå. Men där du skriver från (*) och från (**) tänkte jag på.
Du menar varför jag mult. med 5?
Jag vet detta

och (*) är

så om jag mult. med 5 får jag 25x2 och kan sätt in var 25x2 är eftersom jag vet vad det är i s och t.
Det visar sig att "25" är en återkommande faktor och det är enklare att räkna på 25x* än att få en massa bråktal typ
x_2 = 1/25 ( .....)
Bråkräkning är alltid strul, medans "heltalsräkning" som jag gjort är enklare.
På slutet "frigör" man x och dividerar med 25, men inte förrän på sista raden. Det blir enklare räkningar.
Jo precis, menar så. Tack så mycket.
Har testat flera gånger själv igen och jag känner att jag inte fattar så hoppar över uppgiften, sitter bara och stirrar på en massa siffror som inte säger mig någonting.