7 svar
190 visningar
Karlamacken behöver inte mer hjälp
Karlamacken 163 – Fd. Medlem
Postad: 22 mar 2022 10:19 Redigerad: 22 mar 2022 13:30

Ekvationsystem 1

Lös ekvationsystemet med en algebraisk metod.

x+4y-2=x-8y-162x-3y+5=4y-x

Jag gjorde så här:

xy-2x+4y-8=xy-16x-8y+1283x+5=7yy=7x6+343y=3x7+577x6+343=3x7+577x6-3x7=57-34331x42=-2232131x=-446x=-44631-14,4

men det står på facit att x=10

Yngve 42667
Postad: 22 mar 2022 10:30

Du har fått fel tecken på den här termen:

Karlamacken 163 – Fd. Medlem
Postad: 22 mar 2022 21:20

y=-7x6+344y=3x7+57-7x6+344=3x7+57344-57=3x7--7x622328=67x42936628=67x334,567=xx5

men det är fortfarande fel

Yngve 42667
Postad: 22 mar 2022 22:30

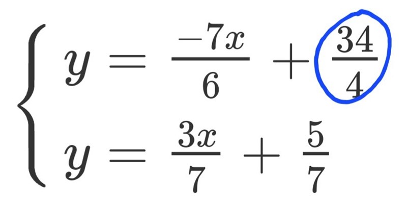
Här ska det vara 343\frac{34}{3}:

Karlamacken 163 – Fd. Medlem
Postad: 22 mar 2022 22:43

y=-7x6+343y=3x7+57-7x6+343=3x7+57343-57=3x7--7x623821-1521=67x4222321=67x42936621=67x446676,7som fortfarande inte är 10

rfloren 111
Postad: 22 mar 2022 23:47 Redigerad: 22 mar 2022 23:47

Kolla så du inte skrivit av fel, för det ekvationssystemet du har skrivit upp har lösningen:

x = 446/67 och y = 239/67

Karlamacken 163 – Fd. Medlem
Postad: 23 mar 2022 10:28

x+4y-2=x-8y+162x-3y+5=4y-xxy-2x+4y-8=xy+16x-8y-1283x+5=7yy=1,5x-10y=3x7+571,5x-10=3x7+5721x14-6x14=57+70715x14=75715x=150x=10y=5

Yngve 42667
Postad: 23 mar 2022 10:36

Ja, nu stämmer det.

Svara
Close