undrar vad som blivit fel? Jag tänker att man skulle slå ihop 7,19 och 1,08 för att få totala kraften, men verkar blivit fel, någon ide?
Du har satt in avstånden i cm, använd meter i stället.
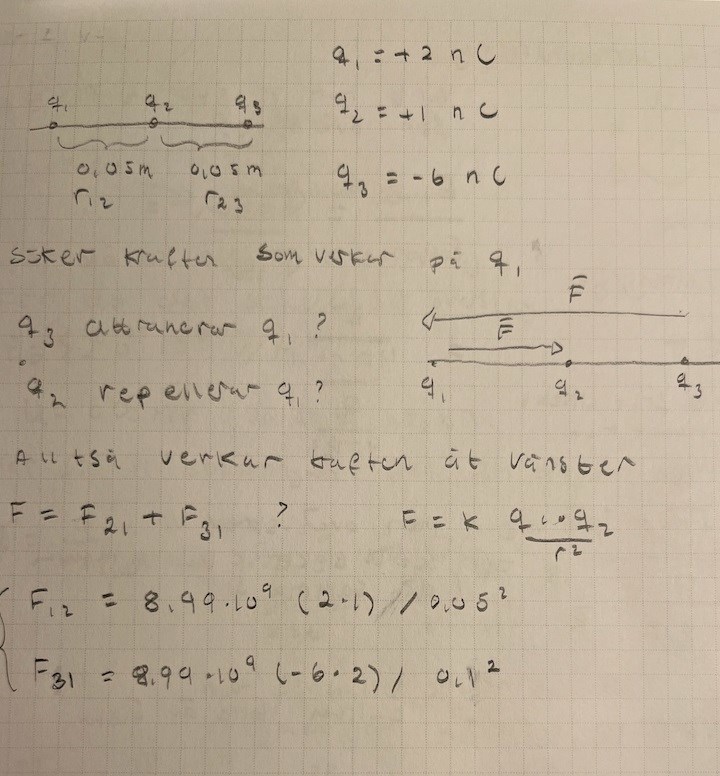
Tänk också på vilken riktning de två krafterna har. Verkar de åt samma håll?

ritat om nu, tänker att de totalt kommer riktas åt vänster? Gör jag rätt som vill räkna ut F12 och F31? Hur påverkar vilken riktning kraften har?
Jo det är rätt att räkna ut F12 och F31.
Det är också riktigt som du skriver att q3 attraherar q1 och q2 repellerar q1. Krafterna på q1 motverkar alltså varandra.
Men det är lite för tidigt att säga vilken riktning som den resulterande kraften har, det beror på vilken som är starkast.
Om jag räknar ut får jag
F12 = 7,19 10 ^12
F31= -1,08 10 ^13
summan av dessa blir ju -7,8 10^25 vilket ju inte ens är ett svarsalternativ, vart går det fel?
Du räknar med Coulomb men det ska vara nanoCoulomb ().
Sedan blir det alltså , hur du fick -7,8 10^25 förstår jag verkligen inte.
Edit:
Du tror väl inte att tiopotenserna adderas? Alltså 10^12 + 10^13 = 10^25. Det är helt fel.
ojj ja jag som snurrade till det, då får jag rätt siffervärde, alltså -3,6 mikro N.
F31 är ju större än F12-betyder det att kraften blir riktad åt vänster?
Njaa... q3 attraherar q1. Åt vilket håll går d kraften?
jaa okej så att q3 är störst och attraherar q1 innebär att kraften går åt höger?
Ja, det får jag det till i alla fall, och jag tror jag har rätt :-)
Oki, tack för all hjälp från båda!

