4
svar
168
visningar
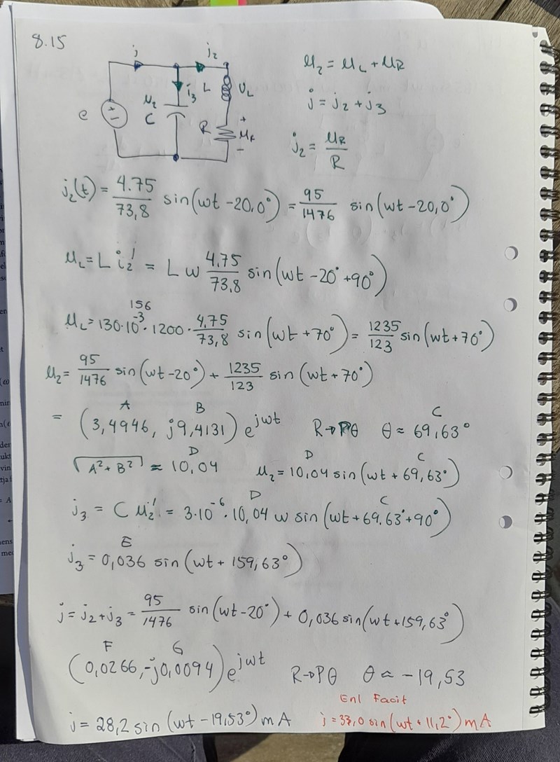
El momvärde ström
Här tycker jag att jag gör "rätt" men ändå blir det fel. Jag känner mig dock osäker på vinklarna när jag lägger till 90° efter att ha deriverat, tänker jag fel där?! Annars ser jag verkligen inte vad jag gör för fel.


Louiger skrev:Annars ser jag verkligen inte vad jag gör för fel.
Visardiagram underlättar om man vill "se" något.
Pieter Kuiper skrev:Louiger skrev:Annars ser jag verkligen inte vad jag gör för fel.
Visardiagram underlättar om man vill "se" något.
Skulle du kunna visa mig hur du gör det?
Se https://sv.wikipedia.org/wiki/Visardiagram och språklänkar.
Jag tycker att du (åtminstone) har räknat fel på u2.
u2=uR+uL. Du verkar ha räknat u2=i2+uL.