1
svar
78
visningar
elektriska fält formel

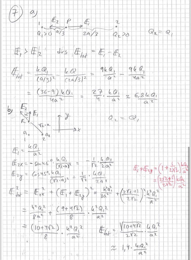
jag förstår att man ska använda, E = kQ/r*r
men vad menas med att E1 > E2 och varför är Etot differensen av dessa?
För att fälten som skapas av kulorna är motriktade. De pekar åt varsitt håll.
Att de sätter E1-E2 efter de klargjort att E1>E2 är helt enkelt för att få ett positivt värde.