Elektriskt flöde genom en sluten yta
Hej!
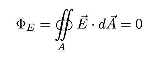
Hur kommer det sig att det elektriska flödet blir 0 genom en sluten yta om en partikel befinner sig utanför, men att flödet blir om partikeln befinner sig innanför? Per definition är väl elektriskt flöde ett mått på antal fältlinjer igenom en yta, och om en partikel befinner sig i närheten av en sluten yta kommer det väl finnas ett elektriskt fält där och därmed fältlinjer som passerar ytan?
Laddning utanför sluten yta:
Laddning i sluten yta:
Luffy skrev:om en partikel befinner sig i närheten av en sluten yta kommer det väl finnas ett elektriskt fält där och därmed fältlinjer som passerar ytan?
Fältlinjerna går också ut genom den slutna ytan (när det inte finns en källa eller sänka):
Sedan finns Stokes sats i matematiken av vektorfält. Googla för det, och då hittar du en hel del om "hur det kommer sig".
När man talar om det elektriska flödet genom en sluten yta menar man netto flödet.
Om en partikel befinner sig i närheten, men utanför, så kommer alla fältlinjer som går ifrån den och in genom ytan också att gå ut ur ytan. De bidar därför inte till något netto flöde. Bara linjer som passerar åt den ena hållet men inte det andra räknas. T.ex. linjer från en partikel innanför ytan.