Elektrodynamik - Dipolantenner
Hej!
Jag skulle behöva hjälp med denna uppgift, vet inte riktigt hur jag ska gå tillväga. Har läst i bok och föreläsningsanteckningar men kommer ingen vart. Tror jag vet hur man löser uppgiften om dipolmomenten är givna och vet att de kommer vara ungefär på följande form , men tror inte det är så man ska lösa uppgiften.

Så de är i motfas, det är bara det.
Pieter Kuiper skrev:Så de är i motfas, det är bara det.
Ja, hänger med på att vågen får en förskjutning på radianer, men hur använder jag detta för att ta fram när de släcker ut varandra?
När vägskillnaden noll eller ett helt antal våglängder.
Visa spoiler
Alltså på dessa ställen där det innan stormen var maximal intensitet.
Pieter Kuiper skrev:När vägskillnaden noll eller ett helt antal våglängder.
Ja det förstår jag, men hur??
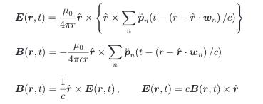
Jag måste ju på något sätt kunna uttrycka E-fältet och B fältet, om man har dipolmomentet så kan jag göra det enligt dessa:

Men hur gör jag annars?
teknikomatte skrev:
Och då finns det standardformler för diffraktionsvinklar.
https://hyperphysics.phy-astr.gsu.edu/hbase/phyopt/slits.html
Pieter Kuiper skrev:teknikomatte skrev:
Och då finns det standardformler för diffraktionsvinklar.
https://hyperphysics.phy-astr.gsu.edu/hbase/phyopt/slits.html
Men såhär säger facit:
Förstår inte riktigt vad det är dom har gjort och det verkar som att de hoppat över en massa steg, förstår inte heller hur det här är kopplat till dubbelspaltsexperimentet...
Så egentligen har du frågor om lösningsförslaget...
Jag vet inte om jag fattar geometrin. Detta verkar handla om antennteori av dipolantenner som inte är punktkällor utan är längder λ/2. Och avståndet mellan källorna är d = λ.
Om man ändå räknar antennerna som punktkällor på ett inbördes avstånd d = λ blir det när de är i fas maxima vid där möjligheterna är m=0 (horisontalplanet som skär masten mittemellan antennerna) och m=±1 (riktningen rakt uppåt eller nedåt). Efter stormen är det nollriktningar. Och då är det som i facit.
Så egentligen har du frågor om lösningsförslaget...
Nej det har jag inte. Som tidigare nämnt så har jag läst i bok och föreläsningsanteckningar men inte lyckats hitta/förstå mig på hur man ska gå tillväga på uppgiften över huvudtaget. Min initiala tanke var att kolla på uttrycken för E-fält och B-fält för gruppantenner, sätta dessa till 0 och sedan kolla för vilka vinklar dessa uppfylldes, men eftersom dipolmomentet inte var givet så gick det inte, då vände jag mig hit.
Om man ändå räknar antennerna som punktkällor på ett inbördes avstånd d = λ blir det när de är i fas maxima vid sinθ=mλ/d= m\sin \theta = m\lambda/d = m där möjligheterna är m=0 (horisontalplanet som skär masten mittemellan antennerna) och m=±1 (riktningen rakt uppåt eller nedåt). Efter stormen är det nollriktningar. Och då är det som i facit.
Tror ej man ska göra så.
teknikomatte skrev:Pieter Kuiper skrev:teknikomatte skrev:
Och då finns det standardformler för diffraktionsvinklar.
https://hyperphysics.phy-astr.gsu.edu/hbase/phyopt/slits.htmlMen såhär säger facit:
Förstår inte riktigt vad det är dom har gjort och det verkar som att de hoppat över en massa steg, förstår inte heller hur det här är kopplat till dubbelspaltsexperimentet...
Riktningarna θ=0 och θ=π (riktningarna rakt uppåt eller nedåt längs med masten) är nodlinjer eftersom dessa båda dipolantenner sitter monterade längs med masten. Dipolantenner strålar inte i dessa riktningar. Därför gäller båda före och efter stormen att intensiteten där är noll.
De andra kan man räkna ut som interferens med dubbelspalt. Innan stormen blir villkoret för där endast m=0 kan ge en lösning. Alltså , alltså det blir koniska ytor 30o över och under horisontalplanet. Precis som facit säger.



