4
svar
104
visningar
Qetsiyah behöver inte mer hjälp
Elektrokemi: otydlig fråga

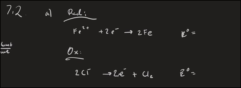
Jag tänkte:

Men det är såklart fel för det är järn som ska oxideras ytterligare och klor som ska reduceras såhär:

Hur hade jag kunna veta det?? Hur är det uppenbart av frågan?
Dety är klor som är reaktanten, inte kloridjon. En redoxreaktion innebär att en partikel reduceras och en oxideras. Om järn skulle reduceras, måste man oxidera klormolekylen. Vad skulle det bli av den då?
Just det, den bilden är efter att jag såg facit och rättade. På ox skrev jag alltså Cl2->2Cl+ + 2e-.
Men okej, en positiv kloridjon ser väldigt konstigt ut...
Så om du tänker på att kloridjonen är negativt laddad blir det inte så konstigt, eller?
Okej, jag flrstår nu, jag får försöka tänka fler steg i förväg