2
svar
68
visningar
Qetsiyah behöver inte mer hjälp
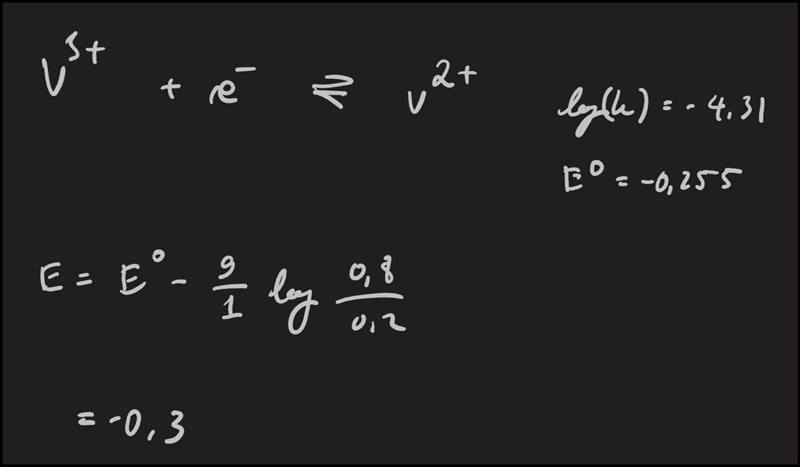
Elektrokemi: redoxpotential V2+ och V3+
Hej, se fråga c) nedan:

Jag gjorde frågan och råkade få rätt utan att veta vad jag höll på med, så jag är inte nöjd. Jag undrar:
- kommer båda joner av V från varsitt salt, och respektive anjoner är åskådarjoner?
- Om V3+ ska reduceras, var ska elektronen komma från? Åsyftas en redoxreaktion eller bara en halvreaktion (reduktion av V3+)?
- Vad betyder ens "redoxpotential av en blandning"?

1. Ja, förmodligen, det framgår inte av frågan.
2. Det är en halvcellsreaktion. Det måste hända något annat i den andra halvcellen.
3. Den potential som denna halvcell har jämfört med en SHE. Du har ju satt in rätt siffror i rätt formel.
Ah, tack!