0
svar
260
visningar
L_RForAM behöver inte mer hjälp
Elektrokemisk beläggning
Hej,
Jag vet inte hur jag ska lösa denna uppgift och undrar någon kan hjälpa mig?
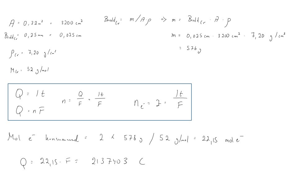
FRÅGA: Vilken elektrisk laddning behöver överföras för att elektrokemiskt belägga en plåt med arean 0,32 m2 med ett krommetallskikt vars tjocklek är 0,25 mm? Krombeläggningens densitet är 7,20 g/cm3. Elektrolysen utförs från en lösning som innehåller kromatjoner, CrO42-.

Jag börjar med att konvertera enheterna för att det ska överenstämma men är osäker på om det är 2 elektroner eller 6 elektroner?
Jag har beräknat ovan med 2 elektroner men oxidationstalet för krom är 6 i CrO42-
Tacksam för hjälp!