Elektromagnetism jordmagnetfältets styrka

Jag förstår inte vad som blir fel, och är inte heller säker på om jag har förstått frågan rätt heller
Det är nog här det blir fel. Jag förstår i alla fall inte bilden och det kanske betyder att det är fel här?

Testa att, åtminstone mentalt (men rita gärna), tänka dig ledaren i din bild i c) som är bra (=jag förstår den). Var är norr, åt vilket håll går ledaren, åt vilket håll går strömmen, var befinner sig kompassen, o.s.v? När du har det klart för dig så kan du prova att rita en annorlunda bild i b). En bild som tydligare visar på det som det frågas efter i b).
Det står i texten att ledaren är horisontell men i din skiss ser det ut som den går vertikalt.
Tänk dig en ledare som ligger platt på marken i nord-sydlig riktning och en kompassnål 5cm ovanför.
Vilken riktning har fältet som kommer från ledaren?
Okej men då förstår jag inte ens hur jag ska bestämma att strömriktningen är neråt?
och vad är fel i mina beräkningar i b-uppgiften?
Superkemisten skrev:Okej men då förstår jag inte ens hur jag ska bestämma att strömriktningen är neråt?
och vad är fel i mina beräkningar i b-uppgiften?
OK, har du ritat in ledaren? Om du har det är det nog inte rätt. Norrut är inte åt det håll som du har markerat.
Googla på jordens magnetfält så kanske du hittar bilder som hjälper dig att markera norr åt rätt håll.
Norrut bör vara rakt uppåt ovanför vid Bx?
Kan jag få hjälp med beräkningarna eller hur bilden bör se ut? Jag förstår verkligen inte.
När du håller i en kompass så pekar röda nålen mot norr. Den pekar i den riktning som du ska gå för att komma till den magnetiska nordpolen. Den riktningen är alltså parallell med marken. Det låter inte som att det är det du menar i ditt svar. Om någon ber dig peka mot norr så tror jag inte att du kommer att peka upp i luften.
Fundera över frågan igen och rita in ledaren och en korrekt norr-pil i din senaste bild. Fundera över de bilder som finns i frågan: från vilket håll tittar vi i de bilderna? Jag vet att många har svårt att översätta 2 -dimensionella bilder till 3 dimensioner, men försök.
Jag tror att du uppfattat bilden i uppgiften på fel sätt.
Tänk dig att ledaren ligger på marken och kompassen "svävar" 5cm ovanför. Sen står man ovanför och tittar neråt.

Ledaren och kompassnålen är parallella och båda pekar i nord-sydlig riktning när det inte går någon ström i ledaren. När det flyter ström påverkar dess magnetfält också kompassen.
Nu har ThomasN gjort en korrekt bild med norr-pil och ledaren utritad. (En eloge för den fina streckgubben med stor näsa! Jag kunde inte gjort det bättre själv, haha.)
Ser du sambandet mellan den bilden och bilderna i frågan? Om du gör det så kan du försöka rita in det jordmagnetiska fältet och strömriktningen i bilden.
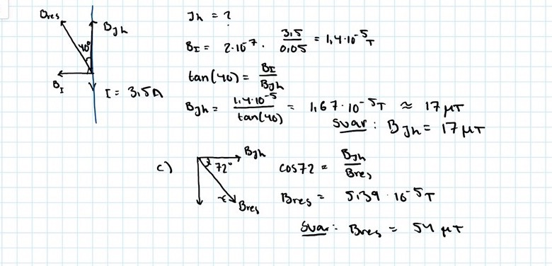
Tack för den fina bilden men jag förstår inte varför jag får fältstyrkan till ungefär 1,17 • 10^-5 T, när det ska bli 17 • 10^-6 T?

Din bild på läge 2 stämmer tyvärr inte.
Kompassnålen ställer sig inte i 40 graders vinkel till marken när man slår på strömmen. Den är fortfarande horisontell men den vrider sig 40 grader från sin gamla nord-sydriktning. Båda bilderna i uppgiften är ju på kompassnål och ledare sedda uppifrån.
Magnetfältet som strömmen i ledaren bildar är inte i ledarens och strömmens riktning.
Här kommer en figur till. Inga streckgubbar här men hoppas den kan hjälpa lite ändå:


Tack för hjälpen! Nu blev det rätt. Var lite svårt att föreställa sig när man inte gjort en liknande uppgift tidigare (:
förstår jag rätt om detta: när man använder formeln B = k * I/r så får man alltid ut fältstyrkan som är vinkelrät till strömmen, och därav är det den vertikala komposanten till jordmagnetfältet man får ut? Men i detta fall vill man veta den horisontella och därför blir beräkningen som den blir?
Jorden har ett magnetfält som påminner om bilden på den här sidan. På Sveriges breddgrader träffar fältet marken med en vinkel på ca 72 grader. Detta jordmagnetiska fält kan delas upp i en horisontell och en vertikal komposant och det har ingenting med strömmen genom ledaren att göra.
När det går en ström genom en ledare så skapas ett annat magnetiskt fält som beskrivs av B = k * I/r. Detta fält går cirkulärt runt ledaren som i den här bilden. Även detta fält kan man dela upp i horisontella och vertikala komposanter. Detta fält har inget med det jordmagnetiska fältet att göra.
De 2 fälten samverkar och det är den horisontella komposanten av de 2 som bestämmer riktningen på kompassnålen.
Alltså, fälten är oberoende av varandra och med B = k * I/r kan du bara beräkna fältet som orsakas av strömmen.
Okej tack! Men B = k * I/r används ändå för att beräkna den horisontella komposanten, eller är det bara att den är lika stor som det jordmagnetiska fältets vertikala komposant?
Fälten är oberoende av varandra. De var var sin horisontell komposant och var sin vertikal komposant.
Kan du förtydliga vad du menar med "Men B = k * I/r används ändå för att beräkna den horisontella komposanten"?
Ja man använder ju B = k * I/r, B = 2*10^(-7 )* 3,5/0,05 = 1,4 * 10^-5. Sen använder man det för att beräkna jordmanetfältets horisontalkomposant.
Och B som beräknas med formeln blir väll då den horisontella komposanten (till ledaren) men den vertikala till jordmagnetfältet, då tänker jag att B(I) = B (Jv) om B(Jv) defineras som jordmagnetiska fältets vertikala komposant. Det jag inte förstår är nog egentligen vad som är vad, vilka komposanter som blir vad när man räknar och varför.
OK, du pratar om denna:

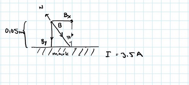
Det som heter BI där, är den horisontella komposanten av magnetfältet som orsakas av strömmen. Det hade varit tydligare att kalla den för BIh. Denna komposant tillsammans med det jordmagnetiska fältets horisontella komposant, Bjh, påverkar kompassen så att den inte längre pekar mot norr. Avvikelsen är 40 grader enligt frågan. Då får man den figuren som du har ritat och man kan beräkna Bjh.
Kompassnålen har samma riktning som det resulterande horisontella fältet som den befinner sig i. I figuren kallas det Bres men det hade varit tydligare att kalla det för Bresh. Det finns alltså inga vertikala komposanter i figuren.
Magnetfältet som ledaren genererar är, som nämnts innan, cirkulärt runt ledaren.

Ledaren är i mitten med en ström som kommer "rakt mot oss". Cirklarna runtom är fältlinjer med pilar som anger riktning.
I en punkt rakt ovanför ledaren blir riktningen på magnetfältet horisontellt och vinkelrätt mot ledaren. I en punkt bredvid ledaren blir fältet vertikalt.
Jag tror att en vanlig magnetkompass har en nål som är mekaniskt upphängd på ett sätt som gör att håller sig horisontellt och är då okänslig för vertikala fält.
Det här uppgiften beskriver hur man skulle kunna göra ett experiment för att bestämma jordmagnetismens styrka, Bj.
Tänk att du har sett den här bilden och att du funderar över hur starkt detta fält är i den labbsal som du befinner dig i. I hela salen, överallt, "finns det" jordmagnetiska fältlinjer som kommer ner från himmeln och täffar alla horisontella ytor, golvet, labbänken etc, med 72 graders vinkel. Du lägger en kompass på labbänken. Den pekar mot norr för att en kompass känner av Bj. Nålen vill ställa in sig längs fältlinjerna men en kompass är konstruerad så att den bara kan vrida sig horisontellt. Om man lutar på en kompass så kommer nålen att skrapa mot kompasshusets väggar (dess "golv" och "tak"). Den vertikala komposanten av Bj, vi kan kalla den Bjv, kommer därför bara att vilja böja nålen (runt nålens upphängningspunkt) men styrkan är alldeles för svag för att det ska gå. Den horisontella komposanten däremot, kommer att vrida nålen så att den linjerar sig med komposanten. Därför pekar nålen mot norr.
Nu placerar du en elektrisk ledare så att den går i nord-sydlig riktning och ligger på bänken som i denna bild:
Här ser man alltså ledaren uppifrån.
Sedan låter du en ström, som du mäter, gå genom ledaren. Du har sett ThomasN's bild ovan och formeln B=kI/r, så du vet hur du kan beräkna fältet som orsakas av strömmen (om du vet k, I och r). När du flyttar kompassen nära ledaren så ser du att nålen rör på sig. Du vet också (eftersom du har sett ThomasN's bild) att på ett konstant avstånd från ledaren är fältet runt ledaren cirkulärt och det har en konstant styrka enligt formeln (om I är konstant). Det betyder att kompassen kommer att känna av ett fält från ledaren som har olika riktning beroende på var kompassen är. I uppgiften framgår det att kompassen är rakt ovanför ledaren:

I denna position är ledarens magnetfält horisontellt (BI=BIh). Den vertikala komposanten, BIv, är 0.
Visa spoiler
Om kompassen hade legat på bänken bredvid ledaren så hade den bara känt av en vertikal komposant från ledarens fält (BIh=0). P.g.a. kompassens konstruktion så påverkas inte nålen alls i det läget. Den kommer att fortsätta peka mot norr. Allt detta inser du när du funderar över ThomasN's bild.
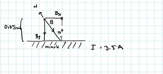
Nu har vi kommit till din bild:

Här har du som sagt ritat ut de horisontella komposanterna av de två fälten och tack vare att du kan mäta vinkeln på kompassens avvikelse så kan du beräkna Bjh. Nu vet du hur stor den horisontella komposanten på alla fältlinjer från jordmagnetfältet i labbsalen är. Eftersom du vet vilken vinkel dessa kommer ner från himmeln med, så kan du även beräkna Bjv och Bj.
Kanske hjälper den här uppsatsen?
Tack!!!
Så sammanfattande, när det gäller kompasser så bryr man sig bara om de horisontella komposanterna, summan av jordmagnetfältets horisontella komposant och ledarens horisontella komposant eftersom kompassen endast visar vridningen i det planet. I dethär fallet är ledarens magnetfält och jordens magnetfält vinkelräta mot varandra och visar den resulterande vinkeln.
Jag såg denna video som förklarade det lite också https://www.youtube.com/watch?v=qXVLXrOB8Ag .
