2
svar
115
visningar
Campeon123 behöver inte mer hjälp
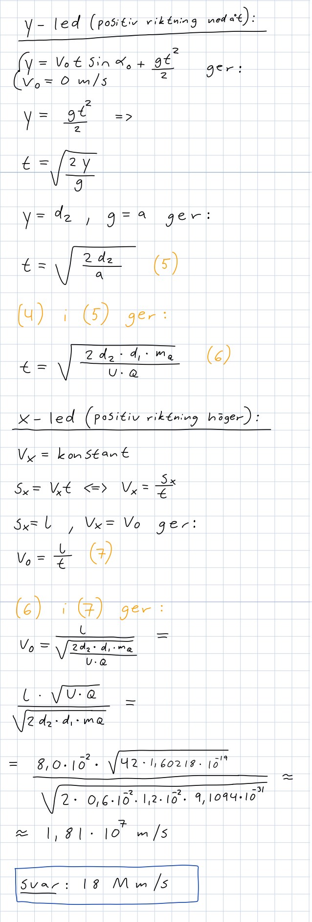
Elektron i elektriskt fält
Hej! Jag undrar om ni tycker att detta ser ut som en korrekt uträkning? Skulle också vara kul att veta vad ni säger om uppställningen av ekvationer då jag ibland tycks ha svårt att hitta en bra balans mellan att inte sätta in värden förens i slutet och räkna ut stegvis, om ni förstår vad jag menar. :)



Väldigt snyggt och prydligt,men det saknas en mening imbörjan, ungefär:
"Om accelerationen i y-led är så stor att elektronen böjs av så mycket att den når fam till den positivt laddade plattan innan den har hunnit ut ur fältet, kommer inte elektronerna att kunna passera omrädet mellan plattorna. Vi beräknar för vilken hastighet detta inträffar."
Kul att höra, tack!