Elektronens hastighet
Hej det här är 2 uppgifter från ett övningsprov, kan jag få hjälp så snabbt som möjligt tack!
Fråga 4 :
Två protoner, som utsänts från en stjärna, anländer till jorden med ett tidsmellanrum av 2,0 s. De har båda hastigheten 2, 0. 108 m/s i förhållande till jorden.
a) Beräkna avståndet mellan protonerna dels från jordens, dels från protonernas synpunkt sett.
b) Beräkna tidsmellanrummet mellan protonernas ankomst till jorden från den bakre protonens synpunkt sett.
Fråga 5 :
En elektron i ett röntgenrör har en total energi på 0,93 MeV. Beräkna dess hastighet.
Ta en fråga i taget.
Visa hur långt du kommit så blir det lättare att förstå var du kör fast.
jag kan börja med fråga 4
a) Beräkna avståndet mellan protonerna dels från jordens, dels från protonernas synpunkt sett.
Mitt problem är att jag vet inte hur jag ska räkna ut det.
Jag testade hastighets formel eller e=mv^2/2 men jag kom ingen stans.
Den här uppgiften handlar om relativitetsteori.
Två effekter är viktiga i den här uppgiften.
För det första, en meterstav som färdas nära ljusets hastighet ser kortare ut för en stillastående observatör.
För det andra, en klocka som rör sig nära ljusets hastighet går långsammare.
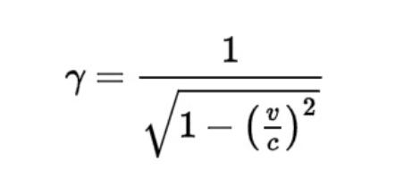
För att räkna på det här behöver vi något som kallas gammafaktorn . Hur man beräknar den står kanske i din formelsamling.
Kan du beräkna gammafaktorn för hastigheten ?
Jag känner till fromel till gammafaktorn och den är 
Där c är ljusets hastighet och v är hastigheten ( v= 2·108 m/s2 )
Men hur menar du med att beräkna gammafaktorn för hastigheten v= 2·108 m/s2
Sätt in värdet och slå på miniräknaren
Sett från jorden är avståndet mellan protonerna
Kan du hitta någon formel som relaterar och i formelsamlingen?
jag har dessa formler och den som passar bäst är den nedersta åt vänster.
Ja, den nedersta ekvationen till vänster är den du ska använda. Omskrivet med gammafaktorn säger den
Du behöver lösa ut vilolängden , sedan sätter du in värden och får ut längden
allright jag fixade det, tack så mycket
För b) använder du ekvationen ovanför, med gammafaktor blir det
Och i vårt fall är
Alltså blir
svaret till b) blir ungefär 2,7
Kan jag få hjälp med den här uppgiften
5. En elektron i ett röntgenrör har en total energi på 0,93 MeV. Beräkna dess hastighet.
adam.hammadi skrev:svaret till b) blir ungefär 2,7
Nä, tiden går långsammare för protonen, är större än 1 så
Låt varje fråga ha en egen tråd, så blir det mindre rörigt! Med andra ord: Gör en ny tråd för den nya frågan! /moderator