Elektrongas
Vet inte hur jag ska börja med a) uppgiften, tips?

Din bok behandlar säkert fallet i tre dimensioner.
Se hur man gör det. Gör nu samma sak för två dimensioner.
Pieter Kuiper skrev:Din bok behandlar säkert fallet i tre dimensioner.
Se hur man gör det. Gör nu samma sak för två dimensioner.
Läroboken är väldigt abstrakt. Jag gjorde ett försök men får ej rätt svar
Cien skrev:Pieter Kuiper skrev:Din bok behandlar säkert fallet i tre dimensioner.
Se hur man gör det. Gör nu samma sak för två dimensioner.Läroboken är väldigt abstrakt. Jag gjorde ett försök men får ej rätt svar
Det du skriver är ju mycket abstrakt. Nästan inga ord alls. Så ser det säkert inte ut i boken.
Och det heter även på svenska dispersionsrelation. (Spridning motsvarar scattering.)
Jag vet inte varför du nämner kvantbrunn. Menar du kvantprick? Men den är noll-dimensionell. Här ska du ha två dimensioner och anta att L är stor och att ytan är en fyrkant (på samma sätt som man analyserar det tredimensionella fallet som en kub).
Och i det tredimensionella fallet gör din bok förmodligen så att man härleder tillståndstätheten som funktion av energi och att man sedan bestämmer Fermi-energi. Det kan finnas andra sätt att få ett svar, jag kommer inte riktigt ihåg. Uppgiftens mening är att du ska förstå den tredimensionella härledningen genom att följa den steg för steg för två dimensioner.
Pieter Kuiper skrev:Cien skrev:Pieter Kuiper skrev:Din bok behandlar säkert fallet i tre dimensioner.
Se hur man gör det. Gör nu samma sak för två dimensioner.Läroboken är väldigt abstrakt. Jag gjorde ett försök men får ej rätt svar
Jag vet inte varför du nämner kvantbrunn. Menar du kvantprick? Men den är noll-dimensionell. Här ska du ha två dimensioner och anta att L är stor och att ytan är en fyrkant (på samma sätt som man analyserar det tredimensionella fallet som en kub).
Jag hörde via en youtube-video att kommer från området man pratar om kvantbrunnen.
Nedan är sidor som ska täcka det vi håller på med. Jag hittar inte specifikt något om hur man ska härleda tillståndstätheten för olika ytor.

Cien skrev:Jag hittar inte specifikt något om hur man ska härleda tillståndstätheten för olika ytor.
Inte ytor. Dimensioner. Och då ingår alldeles säkert sådant här:
https://en.wikipedia.org/wiki/Free_electron_model#Density_of_states
http://hyperphysics.phy-astr.gsu.edu/hbase/quantum/eedens.html
Det är nog bättre att följa din bok än att titta på youtube.
Pieter Kuiper skrev:Cien skrev:Jag hittar inte specifikt något om hur man ska härleda tillståndstätheten för olika ytor.
Inte ytor. Dimensioner. Och då ingår alldeles säkert sådant här:
https://en.wikipedia.org/wiki/Free_electron_model#Density_of_stateshttp://hyperphysics.phy-astr.gsu.edu/hbase/quantum/eedens.html
Det är nog bättre att följa din bok än att titta på youtube.

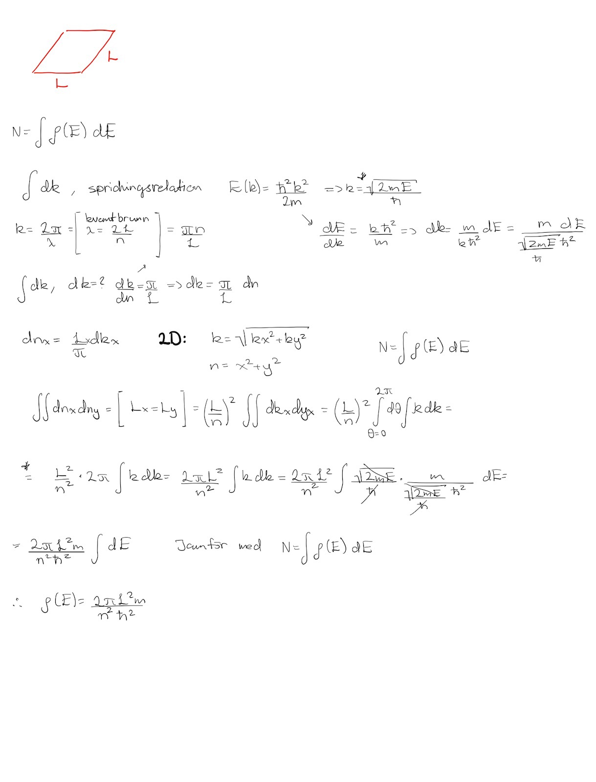
Synpunkter på detta?
Cien skrev:Synpunkter på detta?
Det är i alla fall korrekt att tillståndstätheten i två dimensioner är konstant (alltså att den oberoende av elektronenenergi). Vad den konstanten är vet jag inte rakt av.
Pieter Kuiper skrev:Cien skrev:Synpunkter på detta?
Det är i alla fall korrekt att tillståndstätheten i två dimensioner är konstant (alltså att den oberoende av elektronenenergi). Vad den konstanten är vet jag inte rakt av.
Det ska vara rätt. Hade du beräknat på ett annat sätt?
Cien skrev:Det ska vara rätt. Hade du beräknat på ett annat sätt?
Då är det väl rätt. Det finns alltid saker som man kan undra över, till exempel en faktor 2 för spinn, som du inte har skrivit något om.

