1
svar
127
visningar
Elektronik - Effekt

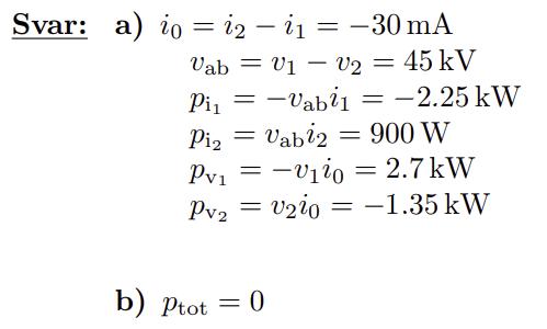
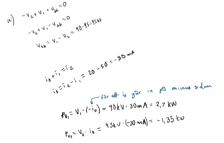
Hur ska man tänka för att beräkna pi1 och pi2? Jag vet att p = v*i men jag får inte rätt på tecken, hur vet man om det ska vara - eller +? Och hur får jag fram att ptot = 0?

