Elektronik, högpassfilter
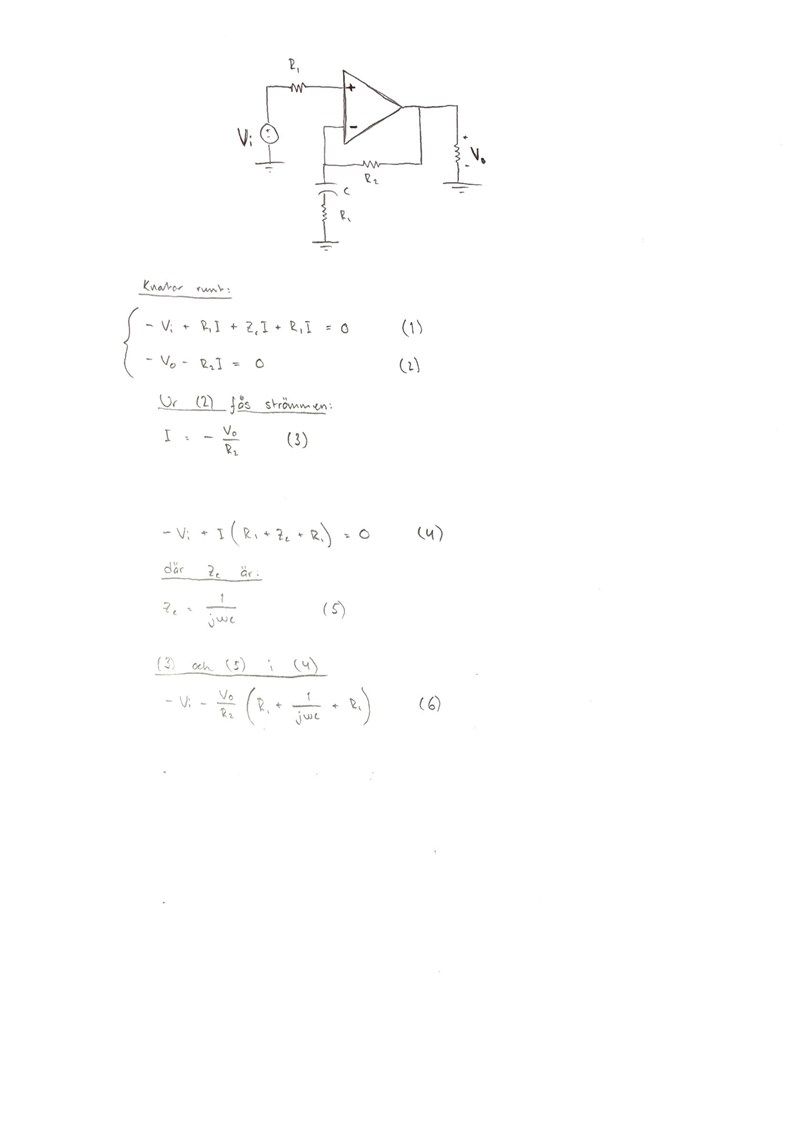
Hej! Har suttit med denna uppgiften alldeles för länge nu och undrar verkligen vad jag gör fel. Visar i bifogad bild hur det ser ut när jag knatar runt i kretsen med KSPL. Tänker att det är där någonstans jag gör bort mig?
Från ekv. 6 ställer jag ju bara upp det som Vo/Vin, men där stämmer det inte.

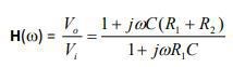
Enligt svaret som jag iof inte vet om det är rätt eller inte blir:

Skulle vara grymt tacksam om någon kunde skicka mig i rätt riktning! :)
Fotot på din lösning är i det närmaste oläsbar.
Affe Jkpg skrev:Fotot på din lösning är i det närmaste oläsbar.
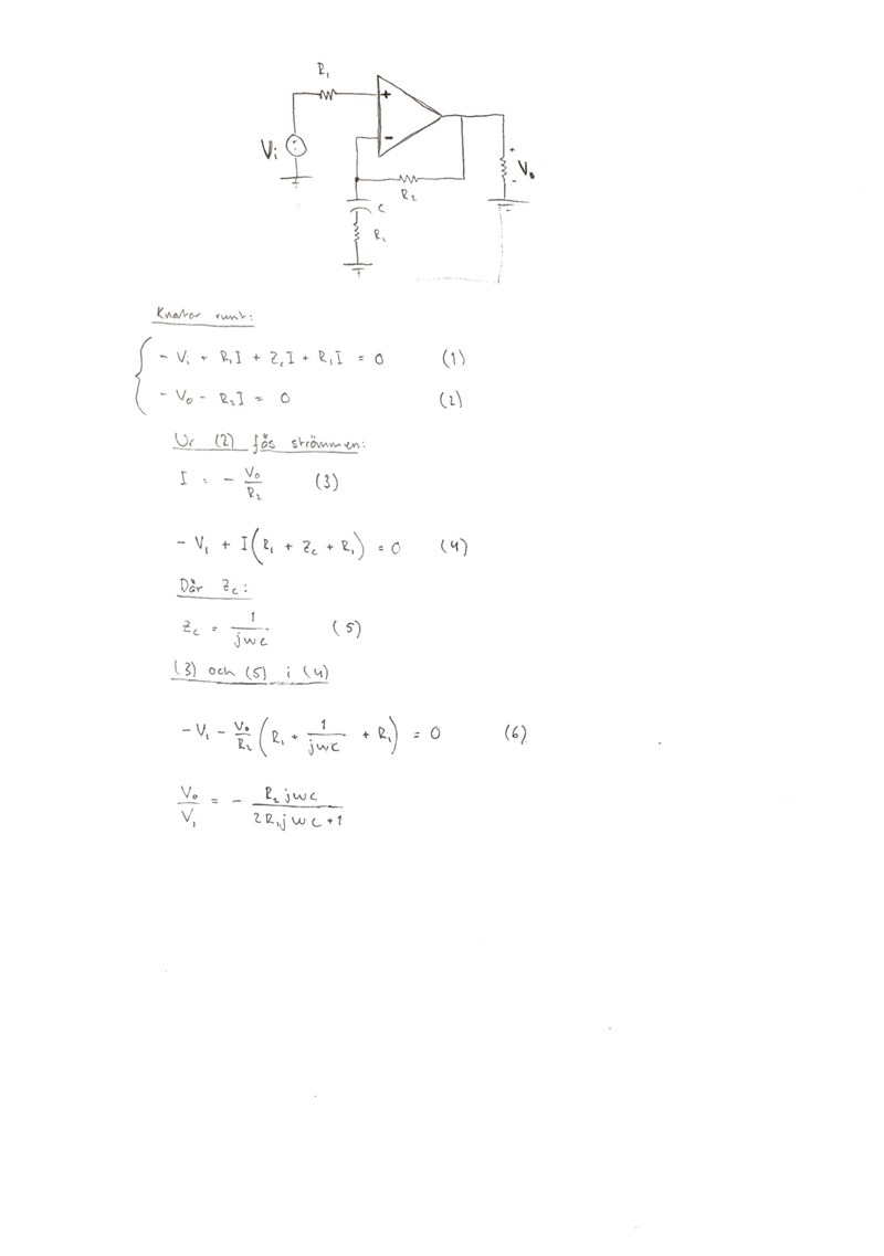
Är det handstilen eller fotot? Tog ett nytt iallafall:
Grundförutsättningar:
- Spänningen över "+" och "-" på op-ampen är nära noll.
- Ingångarna på op-ampen är hög-ohmiga.
- Förstärkningen oändlig.
Spänningen på "-" på op-ampen är då nära
Vi får då:
Klarar du resten?
Affe Jkpg skrev:Spänningen på "-" på op-ampen är då nära
Vi får då:
Klarar du resten?
Sjutton vad jag hade krånglat till det! Tack så hemskt mycket, nu föll allt på plats.
Det jag egentligen hade missat var väl i mitt uttryck (2) att ta med C och R1 egentligen.
Andreass skrev:Affe Jkpg skrev:Spänningen på "-" på op-ampen är då nära
Vi får då:
Klarar du resten?
Sjutton vad jag hade krånglat till det! Tack så hemskt mycket, nu föll allt på plats.
Det jag egentligen hade missat var väl i mitt uttryck (2) att ta med C och R1 egentligen.
Jag har svårt att läsa ditt uttryck (2), men det ser ut som teckenfel samt att du antagit jord i op-ampens "-"