Elektronik - Kretsar

Hur ritar jag om denna kretsen så att jag kan räkna ut den totala resistansen?
Jag tror jag har ritat fel. 
Du lade 4 Ω - motståndet på andra sidan om noden b.
Jag skulle börja med ersättningsresistans för (1+2)//3.
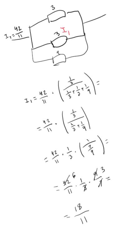
Jag tror jag fick fram totala resistansen men hur ska jag använda detta för att beräkna i? I facit står det att i = 10/11 men jag får inte rätt svar.

Jag försökte använda en annan formel men fick 18/11. Vad har jag gjort för fel?


Fram t o m Itot är det i alla fall rätt i inlägg #3. Det som kommer efter det förstår jag inte, vilket inte betyder att det är helt fel.
Men det finns en genväg i uppgiften. Man kan helt strunta i resistorn 5 ohm. Den påverkar inte den övre delen av schemat.
Ok men jag fattar inte hur man ska gå vidare när man har tagit bort 5 Ω resistorn.
När du tagit bort 5 ohms motståndet ser schemat ut så här

som kan förenklas till

som i sin tur kan förenklas till

Då blir det enkelt att beräkna strömmen i1 sen återstår att beräkna den sökta strömmen
i1 är väl samma som itot? Jag fick det till 42/11 A men hur ska jag räkna för att få den sökta strömmen?
Nej, det är fel, strömmen genom de här kretsen är 10/(4+1,5) A
Ok så strömmen blir 20/11 när man har tagit bort 5 Ω resistorn. Men hur vet man att man kan ta bort 5 Ω resistorn utan att det påverkar beräkningarna och hur får jag fram den sökta strömmen?
Jag löste det med 5 Ω resistorn i kretsen men tack för hjälpen!
3.14 skrev:Ok så strömmen blir 20/11 när man har tagit bort 5 Ω resistorn. Men hur vet man att man kan ta bort 5 Ω resistorn utan att det påverkar beräkningarna och hur får jag fram den sökta strömmen?
Spänningen över ab räcker för att räkna ut alla strömmar i övre delen, strömmen genom 5 ohm påverkar inte resten. Du kan räkna ut ersättningsresistansen för hela kretsen och sedan strömmen genom t.ex. a, vilket du antagligen gjorde, men det är en omväg.