Elektronik - Kretsar

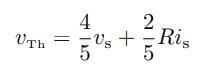
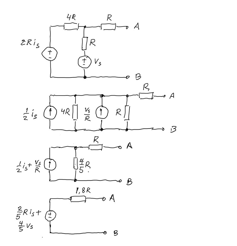
Jag har försökt beräkna Vth men får alltid fel svar.

I facit står det
men jag får Vth = Vs + (2/5) * Ris
3.14 skrev:Jag har försökt beräkna Vth men får alltid fel svar.
Det finns olika metoder. Jag brukar räkna ut öppen-krets spänning och kortslutström. Sedan kan man kolla med en annan metod.
Jag kan inte riktigt följa vad du gjorde.
Jag använde KCL på noden C.
Jag försökte använda denna metod https://www.youtube.com/watch?v=zTDgziJC-q8
Vad får man i C om strömkällans ström är noll?
Får man Vs? Jag fattar inte riktigt hur jag ska räkna ut detta
3.14 skrev:Jag fattar inte riktigt hur jag ska räkna ut detta
Spänningsdelning är snabbast.
Jag ritade om den delen av kretsen där det går ström igenom när man har stängt av strömkällan 
Jag vet att man kan lösa detta problemet med superposition genom att stänga av spänningskällan och sedan addera ihop värdena på Vc. Men jag fattar bara inte varför metoden jag försökte använda inte funkade.
