Elektrostatik Dipolmoment


Jag förstår inte riktigt hur man kan se att dipolmomentet blir 0 överallt utom just z-axeln, förstår att vi har r*q och att laddningarna befinner sig på motsatt avstånd och därför blir det 0. Men just att det är i X-led och Y-led som det blir noll förstår jag inte helt. Vilken riktning ska dipolmomentet peka?
Jag förstår inte exakt vad din fråga är. Men förmodligen finns svaret i exempel 3.9, kanske med en fin figur som visar koordinatsystemet.
För mig ser det ut som att dipolmomentet blir noll överallt, förstår inte hur just z-axeln överlever. Hur hade du förklarat det?
hjalpmig123 skrev:För mig ser det ut som att dipolmomentet blir noll överallt, förstår inte hur just z-axeln överlever. Hur hade du förklarat det?
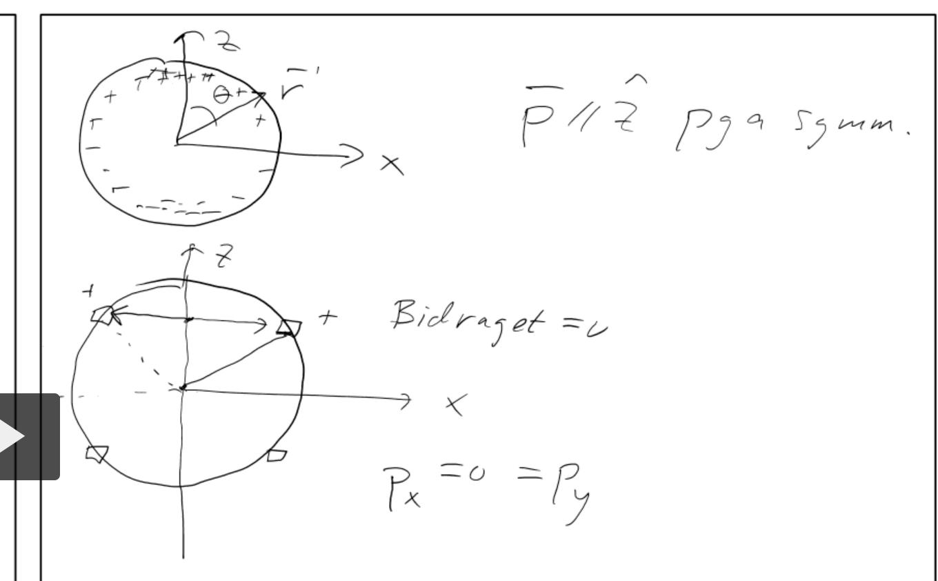
Det finns en laddningsseparation: tyngdpunkten av den positiva laddningen ligger någonstans på +z, tyngdpunkten av den negativa laddningen någonstans på -z. Denna ladningsfördelning har alltså ett elektriskt dipolmoment parallellt med z-axeln.
Laddningsfördelningen ger ett elektriskt fält överallt. På större avstånd från sfären närmar det sig ett dipolfält (där E=0 på z-axeln).
hur menar du exakt med tyngdpunkten av en laddning?
hjalpmig123 skrev:hur menar du exakt med tyngdpunkten av en laddning?
Jag vet inte om du nu försöker märka ord eller om det är en riktig fråga. Din engelska bok har säkert bättre uttryck för sådana integraler.
Fördelningens totala laddning (monopolmoment) är noll, men dess elektriska dipolmoment längs z är uppenbart inte noll.
Jag använde inte exakt terminologi, försökte bara handwaving förklara något.