Elektrostatik: potential pga oändligt lång laddad stav
Min lösning:

Men jag ser direkt att den inte konvergerar, varför är det fel?
Du vet nog vad fältet ska bli.
Tänk att den har längden L. Beräkna potentialen på centrumlinjen på avståndet h från tråden. Låt L gå mot oändlighet.
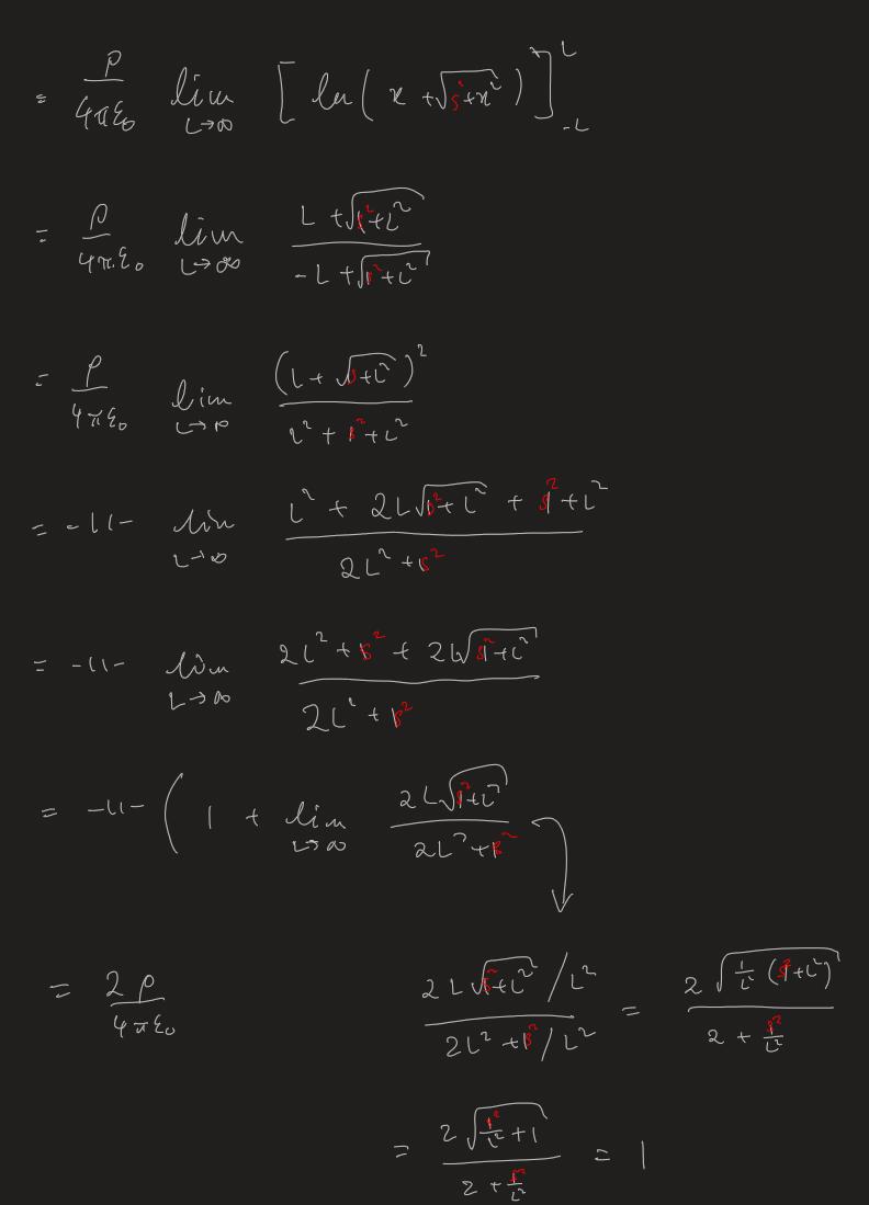
. Tänk på att ln(a)-ln(b)=ln(a/b).
Tillägg: 30 aug 2023 22:38

Du menar alltså att integralen jag ställt upp är rätt?

Röda s^2 för att jag glömde dem, satte 1. Mitt svar saknar ett s i nämnaren...
Den här gången är problemet att jag inte ens fattar facit/genomgången av min övningsasse:
Facit från övning


Det ser lite ut som att facit gör något annat än vad uppgiften hade tänkt sig.
Facit börjar med att beräkna fältet.
Denna genomgång förklarar ganska bra:
https://books.physics.oregonstate.edu/GSF/vlineinf.html
Principen är helt enkelt att din första integral divergerar för att du "mäter" potentialen vid en singulär punkt i idealiseringen. Du måste välja mätpunkt med omsorg, så som till exempel facit visar.
Ha, intressant. Det var därför vi fick problem med konvergensen på integralen.
När vi antar att dV = , så har vi implicit antagit att V=0 i oändligheten.
Men det blir problem här.
Potentialen växer obegränsat när vi går närmare stången, så potentialen borde gå mot oändlighet då vi närmar oss stången alltmer, men samtidigt så når stången oändligt långt bort, där potentialen skall vara noll. Det blir en självmotsägelse. Klurigt. Tur att det inte finns några oändliga stänger, så vi slipper råka ut för detta i praktiken.
Facit undgår denna fallucka genom att utnyttja Gauss lag istället. Men det är ju lite fusk eftersom frågan krävde att man först skulle ta fram V och sedan beräkna E som -gradV.
Men divergenslagen funkar väl inte heller för oändlig cylinder, Mängden behvöer vara kompakt.
https://books.physics.oregonstate.edu/GSF/vlineinf.html
aha ojdå, Ebola du länkade redan den!
PATENTERAMERA skrev:
När vi antar att , så har vi implicit antagit att V=0 i oändligheten.
Ja, precis, i min bok står följande:

I den boken beskrivs explicit att man bör använda Gauss sats för problemet med en oändligt lång tråd, hitta det elektriska fältet och sedan integrera fram potentialen.
Potentialen växer obegränsat när vi går närmare stången, så potentialen borde gå mot oändlighet då vi närmar oss stången alltmer, men samtidigt så når stången oändligt långt bort, där potentialen skall vara noll. Det blir en självmotsägelse. Klurigt. Tur att det inte finns några oändliga stänger, så vi slipper råka ut för detta i praktiken.
Min länk refererar till hur lösningen påminner om ett slags matematiskt trick så som renormalisering inom partikelfysik eller kvantfältteori. Det man i detta fall egentligen gör är ju att ta en oändlighet minus en oändlighet vilket så klart är odefinierat.
Överkurs de luxe
Ett annat sätt att hantera det på är med dimensionell d cutoff regularisering (eng: Dimensional Cutoff Regularization) enligt Olness och Scalise (https://arxiv.org/pdf/0812.3578.pdf). Detta genom att generalisera från ett endimensionellt problem med regulator-variabel till dimensioner.
Ett tredje sätt är att vi ansätter en svagt avtagande laddningsdensitet enligt:
Med regulator-variabel . Läs mer här:
http://www.phys.ufl.edu/~fry/6346/renormalization.pdf
Typiskt för regularisering använder man då sedan gamma-funktionen och massa knepiga saker som jag inte ids att förstå mig på.
Jag kan ha fel men rent intuitivt ser inte jag någon fallgrop med singulariteten eftersom en oändligt lång tråd med given laddningsdensitet har oändlig laddning. Därmed krävs oändligt med energi för att flytta en testladdning från till något finit . Elektrisk potential är som bekant en beskrivning av just potentialskillnaden mellan två punkter.
Problemet blir kanske bara att vi påstår något som inte stämmer och hoppas på ett rimligt resultat.
Qetsiyah skrev:Men divergenslagen funkar väl inte heller för oändlig cylinder, Mängden behvöer vara kompakt.
https://books.physics.oregonstate.edu/GSF/vlineinf.html
aha ojdå, Ebola du länkade redan den!
Hah, de pratar om exakt detta i min bok också. Den gaussiska ytan kan vara vilken godtycklig längd som helst därför att:

Vi har så vi får:

Slutligen:


Du ser alltså att längden på den gaussiska ytan divideras bort.
Det här tror jag jag vill klassa om shady ingenjörsfiffel, den matematiska satsen divergenssatsen (som jag hoppas Gauss sats i elektrostatiken bygger på?) kräver att blobben är kompakt dvs begränsad och closed.
Edit: vid en närmare koll så ser jag att wikipedia säger om gauss sats att ytan behöver vara "closed", som betyder compact and without a boundary ("nakna" vassa kanter).
Qetsiyah skrev:Det här tror jag jag vill klassa om shady ingenjörsfiffel
Alltså, oberoende av hur du gör har du att för en ändlig cylinder beräknas ett fält helt i linje med alla krav. Detta fält är sedan oberoende av längden på cylindern.
Kom sedan ihåg att du kan flytta runt din relevanta volym hur du vill och det är därför uppfyllt för alla punkter som du kan formulera din ändliga cylinder kring. Rent matematiskt krävs säkert massa märkliga resonemang för att det ska stämma, stringent, för hela men jag ser å andra sidan ingen strikt begränsning då du som sagt kan flytta din ändliga cylinder var du vill längs med tråden.
Addendum
ChatGPT tycker följande:


