Elektroteknik, bestäm elektriska effekten över resistansen
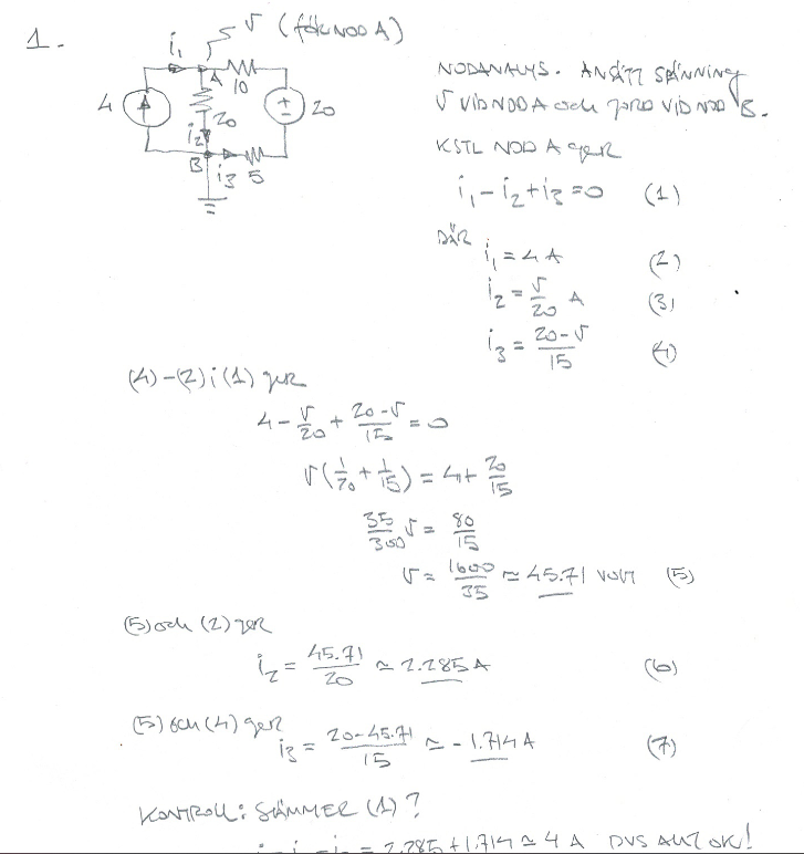
Hej! Jag försöker lösa följande gammla tenta uppgift och hänger med över lag på tänket kring lösningen men förstår inte varför i3 blir (20-v)/15, om man tar spänningen 20-v, borde vi inte dividera med resistansen som ör däremnellan dvs.10 istället för 15?



Tack på förhand!
Det verkar som om man använder V för både spänningen från spänningskällan och potentialen i A. Vilket leder till förvirring.
PATENTERAMERA skrev:Det verkar som om man använder V för både spänningen från spänningskällan och potentialen i A. Vilket leder till förvirring.
Jo precis tycker också det var lite dumt val av variabel men om vi kallar punkten för A och potenitalen i A för VA, jag förstår liksom inte varför man dividerar med 15?
Hejhej! skrev:jag förstår liksom inte varför man dividerar med 15?
Seriekoppling av 5 Ω och 10 Ω ger 15 Ω.
Pieter Kuiper skrev:Hejhej! skrev:jag förstår liksom inte varför man dividerar med 15?
Seriekoppling av 5 Ω och 10 Ω ger 15 Ω.
Ah okej tack!