1
svar
295
visningar
Elektroteknik: Bestäm ett uttryck för strömmen iL, Theveninekvivalenta kretsen?
Hej! Jag försöker förstå hur han kom fram till VTH i den theveninekvivalenta kretsen? Förstår inte hur det blir som det blir? RTH hönger jag med på men inte VTH.

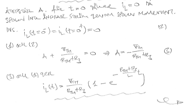
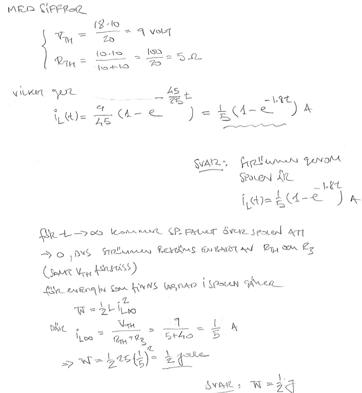
Facit



Tack på förhand!
VTH är spänningen i obelastat tillstånd. Det blir bara en spänningsdelning mellan R1 och R2