2
svar
312
visningar
Elektroteknik: Bestäm strömmen i från strömkällan i kretsen
Hej! Jag försöker lösa denna uppgift men förstår inte varför man inte kan göra som jag gjort? var det blir fel?

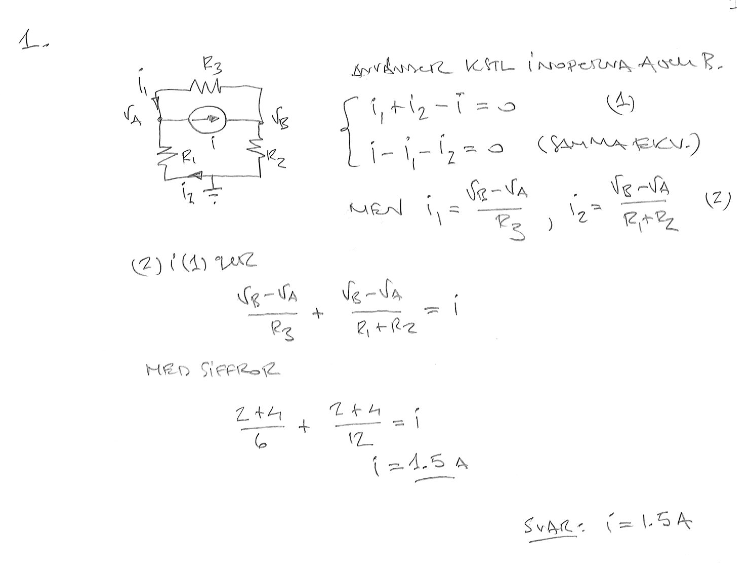
Min lösning:

Facit:
Tack på förhand!
Jo, det går bra. Men är inte -(-4)/8 = 1/2?
PATENTERAMERA skrev:Jo, det går bra. Men är inte -(-4)/8 = 1/2?
Oj förlåt vilket dumt fel! Tack så mycket!!