Elektroteknik Krets med brytare, bestäm diffekv för spänning och bestäm värdena på R och L
Hej! Jag försöker lösa följande gammla tenta uppgift men det är några saker i lösningsförslaget jag inte hänger med på:
1.Varför tar de inte med cos-termen i ekv 4?

2. Är dessa formler generella för omega_d eller hur kom han fram till det?


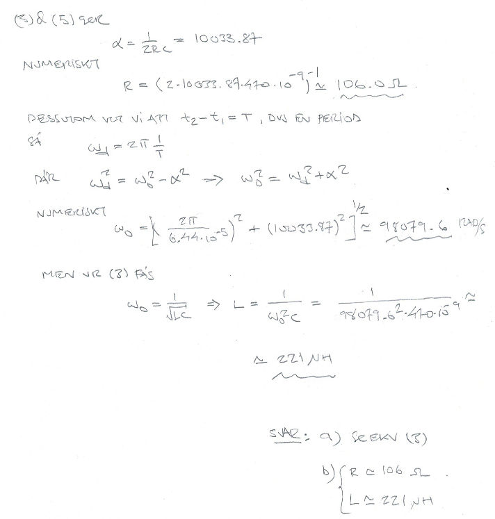
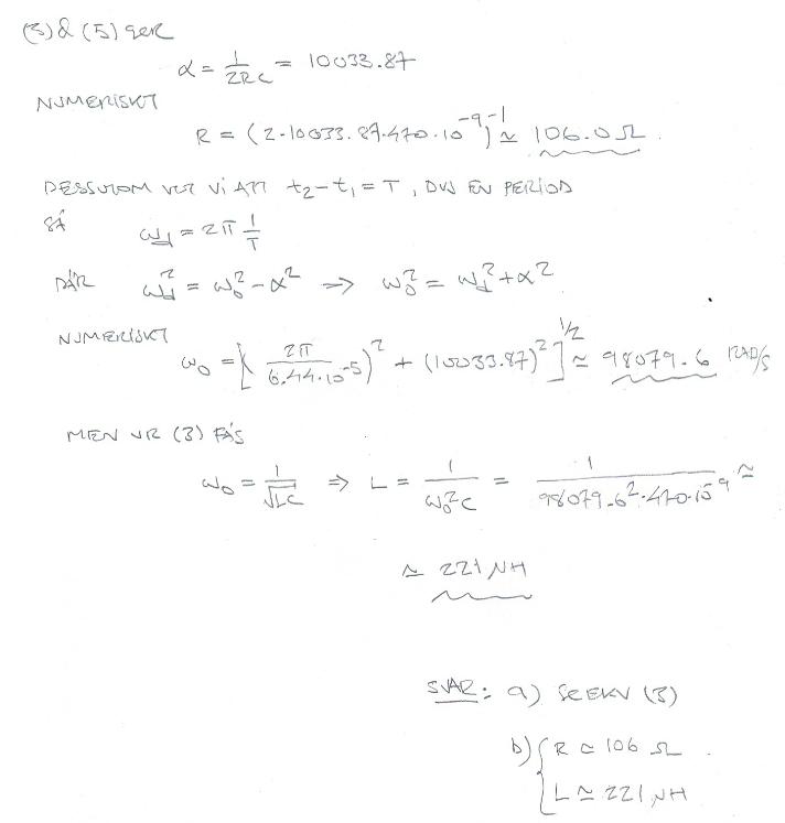
Facit:



Tack på förhand!
Hejhej! skrev:Hej! Jag försöker lösa följande gammla tenta uppgift men det är några saker i lösningsförslaget jag inte hänger med på:
1.Varför tar de inte med cos-termen i ekv 4?
Eftersom vid t = 0.
Hejhej! skrev:2. Är dessa formler generella för omega_d eller hur kom han fram till det?
Det gäller generellt för en underdämpad oscillator:
http://hyperphysics.phy-astr.gsu.edu/hbase/oscda.html#c4
Pieter Kuiper skrev:Hejhej! skrev:Hej! Jag försöker lösa följande gammla tenta uppgift men det är några saker i lösningsförslaget jag inte hänger med på:
1.Varför tar de inte med cos-termen i ekv 4?
Eftersom vid t = 0.
men varför gör det att cos-termen försvinner?
Pieter Kuiper skrev:Hejhej! skrev:2. Är dessa formler generella för omega_d eller hur kom han fram till det?
Det gäller generellt för en underdämpad oscillator:
http://hyperphysics.phy-astr.gsu.edu/hbase/oscda.html#c4
Ah okej tack!:)
Hejhej! skrev:Pieter Kuiper skrev:Hejhej! skrev:Hej! Jag försöker lösa följande gammla tenta uppgift men det är några saker i lösningsförslaget jag inte hänger med på:
1.Varför tar de inte med cos-termen i ekv 4?
Eftersom vid t = 0.
men varför gör det att cos-termen försvinner?
Differentialekvationens generella lösning innehåller även cosinustermen (alternativ en konstant fasvinkel i argument för sinus), men randvillkoret att spänningen är noll vid t=0 ger att amplituden av cosinustermen är noll (alternativt att argument av sinusfunktionen är noll) vid t=0.
Pieter Kuiper skrev:Hejhej! skrev:Pieter Kuiper skrev:Hejhej! skrev:Hej! Jag försöker lösa följande gammla tenta uppgift men det är några saker i lösningsförslaget jag inte hänger med på:
1.Varför tar de inte med cos-termen i ekv 4?
Eftersom vid t = 0.
men varför gör det att cos-termen försvinner?
Differentialekvationens generella lösning innehåller även cosinustermen (alternativ en konstant fasvinkel i argument för sinus), men randvillkoret att spänningen är noll vid t=0 ger att amplituden av cosinustermen är noll (alternativt att argument av sinusfunktionen är noll) vid t=0.
Ahh okej då förstår jag! Tack så mycket för hjälpen!:)





