Elementär linjär algebra: checka mina svar
Hej, dessa uppgifter är småpotatis, men av samma anledning enkla för mig att göra pinsamma slarv. Kan någon göra en oberoende tredjepartscheck?
-



Det är otrolig viktigt att själv kunna testa sina svar och veta om dom stämmer, eller i vart fall är rimliga. Du vinner mycket på om du i början löser problemen för hand för att få grepp om dom men samtidigt använder en dator med matlab till exempel och kontrollerar dina lösningar.
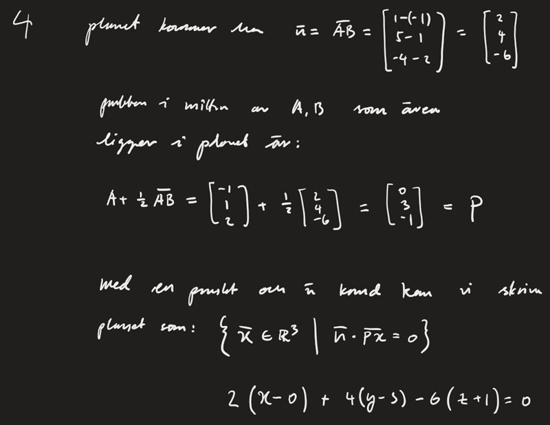
Men varför addera även A för att få fram mittpunkten av AB som ligger i planet? Räcker ju dela med 2 som det ser ut.
Edit:
Däremot 3:an ser bra ut.
Edit: svar till echica
är en vektor mellan A och B. För att få en punkt i planet måste man addera startpunkten för vektorn.
I det här fallet kan du till och med skissa i ett koordinatsystem för att kontrollera båda uppgifterna.
Man kan också prova att göra en rimlighetsbedömning. Exempelvis på trean: är den punkt du kommit fram till en punkt i planet? Skulle den inte vara det är det ju lätt att konstatera att svaret är fel. På fyran kan man ju hitta på en punkt i planet man kommit fram till och kolla dess avstånd till A och B. Är de olika, ja då är det bara att börja om :)