1
svar
126
visningar
Johnn1 behöver inte mer hjälp
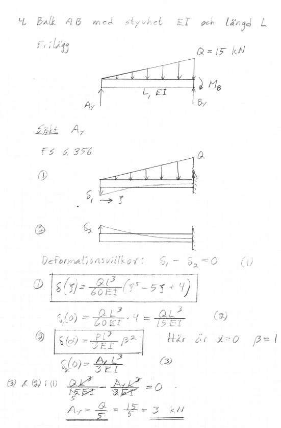
Elementarfall
Tjena Pluggakuten,
Försöker förstå mig på skillnaden mellan dessa två fall, kommer dock ingen vart. Båda fallen ser nästan exakt likadana ut, dock använder läraren av två helt olika metoder för att lösa problemen.
Första problemet:

Lösning : 
Fråga 2: 
Lösning på fråga 2: 
I båda fallen är ju balken fast inspänd. Varför räknar han han med att den första frågan inte är fast inspänd? Vad är det jag missar?
Hoppas ni förstår vad jag menar. Tack på förhand!
Bump?