0
svar
180
visningar
Johnn1 behöver inte mer hjälp
Elementarfall
Hej!
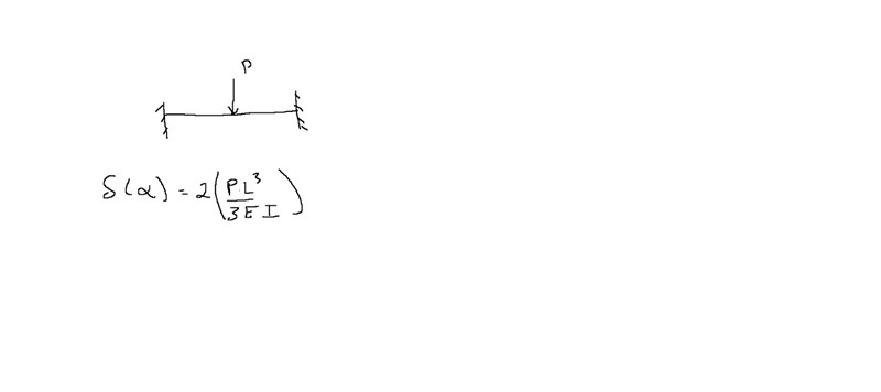
Undrar om jag tänker rätt när det kommer till elementarfall för balk. Enligt boken jag har är böjningen för en balk enligt bild:

Men om jag istället har ett fall där balken är fast inspänd i båda ändar, blir fallet då?

Förhoppningsvis går det att förstå utifrån bild
Tack på förhand!