Elerktroteknik Bestäm spänningen V över R2
Hej! Jag försöker förstå lösningsförslaget till denna uppgift. Det är några ställen där jag fastnar och inte förstör hur varför han gjort som han gjort:(
1.Han skriver att "Spänningen över R2 är densamma som över R3" hur vet han det? är det för att det inte varit någon mer resistans efter R1?
2.När han i det andra steget kortsluter Vs1 stället ser det ut som han hantar att R1 och R3 är parallelkopplade med varandra och att de i sin tur är seriekopplade till R2 om man ser på hans ekvation. Jag förstår dock inte varför det blir så? hur ser man det? När vi kortslöt Vs2 var ju R2 och R3 parallellkopplade med varandra och de var sedan seriekopplade till R1?
Frågan:

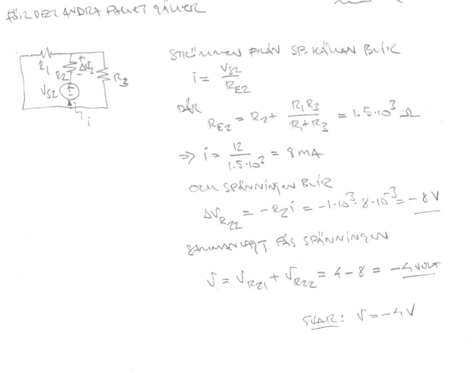
Lösningsförslaget:


Tack på förhand!
1. När man har förenklat kretsen till det där den texten står så är R2 och R3 parallellkopplade.
Mer än så har jag inte tittat.
Laguna skrev:1. När man har förenklat kretsen till det där den texten står så är R2 och R3 parallellkopplade.
Mer än så har jag inte tittat.
Ah okej tack för svar! MEn hur kommer det sig att de sedan räknar med R1 och R3 som paralellkopplade (när de kortslutit VS1 istället? är det för att det kommer vara en viss spänning till R2 först och sedan blir spänningen lika för R2 som för R3?
I steg 2, man ser det lättare om man ritar om schemat:

ThomasN skrev:I steg 2, man ser det lättare om man ritar om schemat:
okej tack!:)